Question: Using the appropriate method of differentiation, find y'. 1. x = 4y - 3y2 2+y 2. y = ww-+4); x= w - 3 w+3 3.


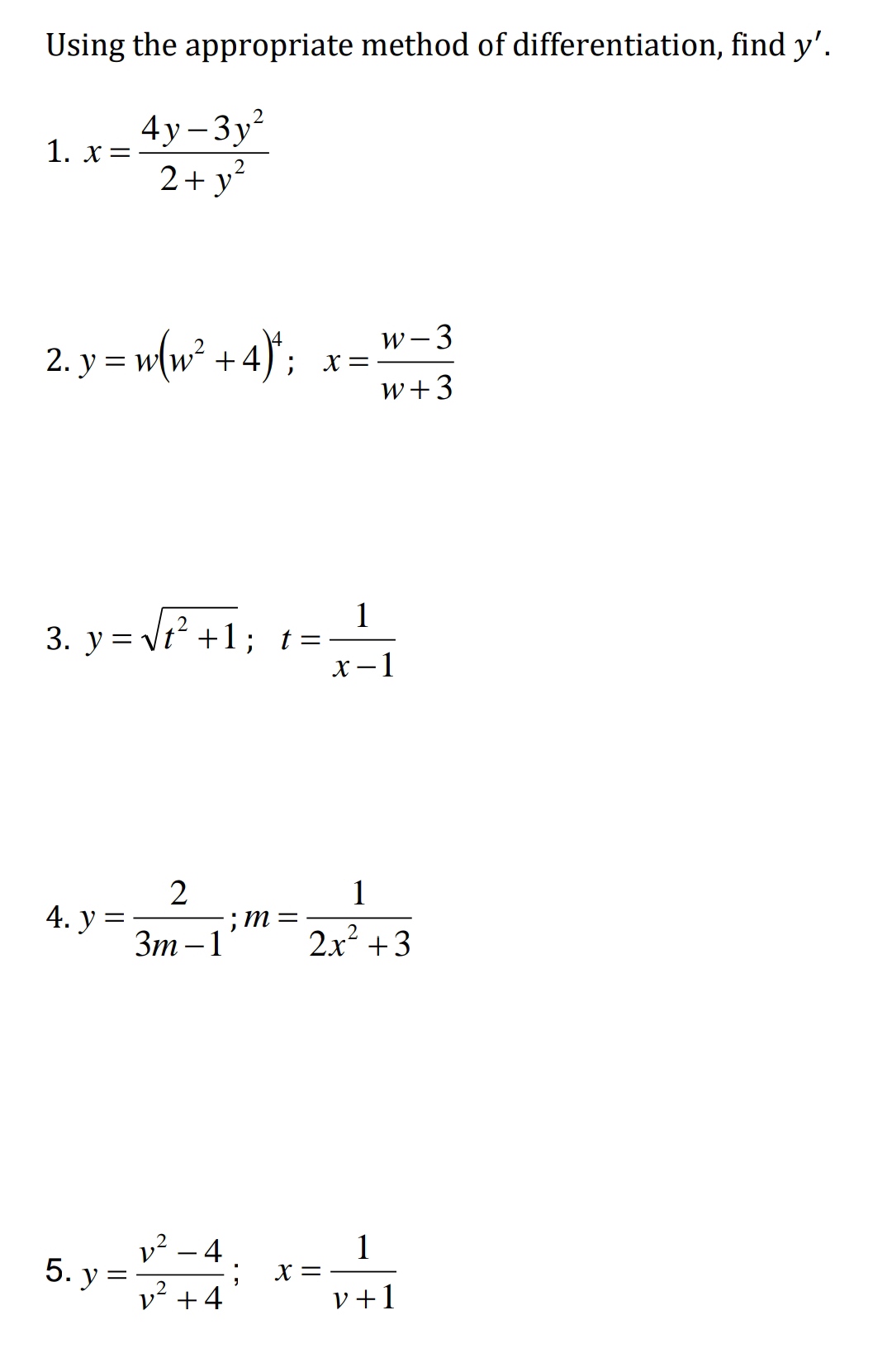
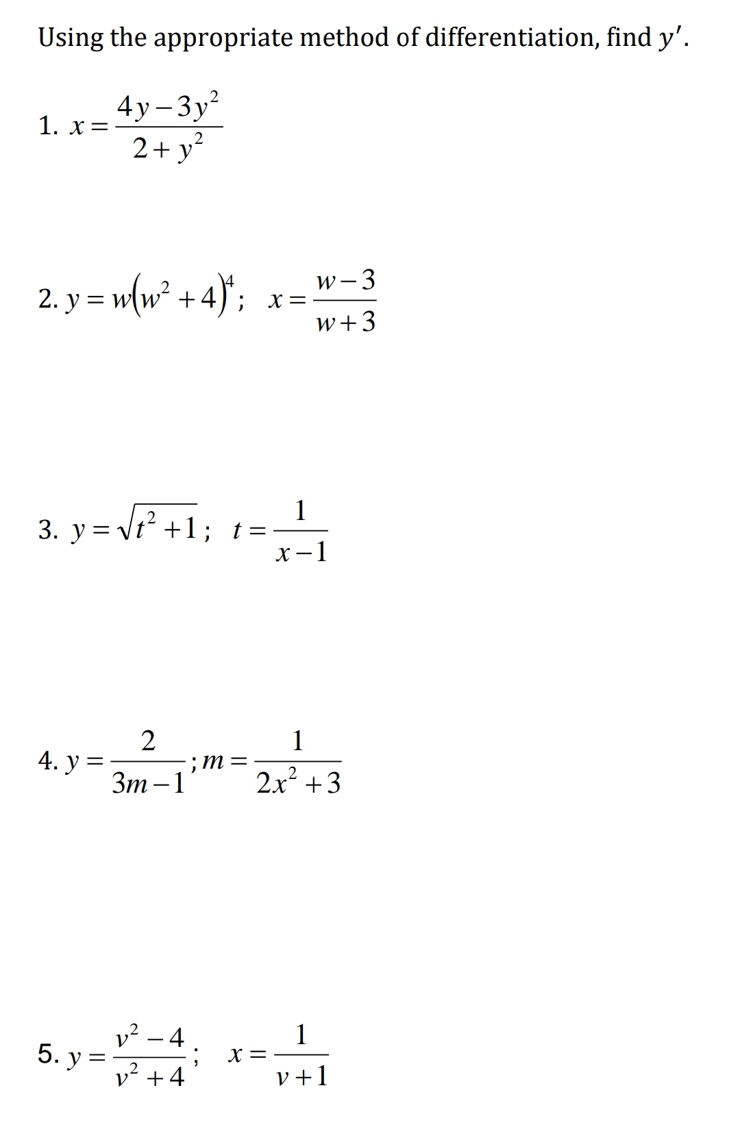
Using the appropriate method of differentiation, find y'. 1. x = 4y - 3y2 2+y 2. y = ww-+4); x= w - 3 w+3 3. y = Vt' +1; t= x-1 2 4. y = :M = 3m -1 2x- +3 V 4 5. y X= v -+ 4
Step by Step Solution
There are 3 Steps involved in it
Get step-by-step solutions from verified subject matter experts
