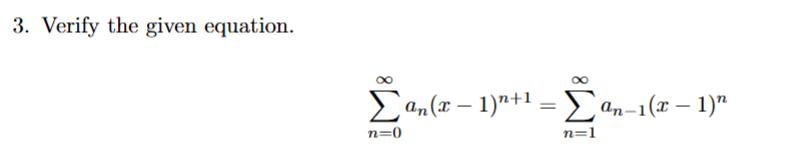
Question: Verify the given equation. n = 0 a n ( x - 1 ) n + 1 = n = 1 a n - 1
Verify the given equation.
Step by Step Solution
There are 3 Steps involved in it
1 Expert Approved Answer
Step: 1 Unlock
Question Has Been Solved by an Expert!
Get step-by-step solutions from verified subject matter experts
Step: 2 Unlock
Step: 3 Unlock
