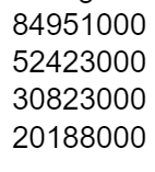
Question: Weekly numbers weeks 1 through 4 Predicting Blockbusters: Weekly Movie Grosses and Exponential Sequences Studies have shown that weekly U.S. gross box office receipts the

Weekly numbers weeks 1 through 4
Step by Step Solution
There are 3 Steps involved in it
1 Expert Approved Answer
Step: 1 Unlock
Question Has Been Solved by an Expert!
Get step-by-step solutions from verified subject matter experts
Step: 2 Unlock
Step: 3 Unlock
