Question: When there IS a pressure gradient in the direction of the flow, Coles Law of the Wake is a good choice. This is given by:
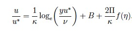
When there IS a pressure gradient in the direction of the flow, Coles Law of the Wake is a good choice. This is given by:

In this equation, u is the streamwise velocity (m/s), y is the vertical coordinate (m), u* is the shear velocity, (m/s) k = 0.4 is the von Karman constant, B = 5 is a constant, P is an unknown wake constant, n is the kinematic viscosity of water (m2/s), and
f(h) = 3 h2 2 h3; h = y / d.
In this final expression d is the boundary layer thickness. Whew.
Bottom line, this equation gives you a model for velocity (u) in a boundary layer. There are three parameters: the shear velocity, the wake constant, and the boundary layer thickness.
Open up the fr3_crest_data.dat file. There is some header stuff and four columns. Ignore columns 3 and 4. Column 1 is streamwise velocity in centimeters per second. Column 2 is vertical position in centimeters. These data come from hydraulic jump experiments done by a student of mine. I would like you to use these data and parameter estimation methods in Matlab to find the three parameters (u*, P, d) discussed above. You will have to look up a value for kinematic viscosity. Be sure that you use a consistent system of units throughout.
When you have done so, please make a plot of the raw data and the model fit.
------------------------------------------------------------------------------
here is the extracted fr3_crest_data.dat file.
title="fr3 crest" variables="udata" "ydata" "ucalc" "ycalc" zone i=69, f=point 7.9662256e+000 4.9710092e-001 9.2960570e+000 4.9710092e-001 9.5777874e+000 5.9432107e-001 1.1098037e+001 6.6419406e-001 1.1041187e+001 6.9154125e-001 1.3183614e+001 8.3128720e-001 1.2415045e+001 7.8876144e-001 1.5561468e+001 9.9838034e-001 1.3921242e+001 8.8598162e-001 1.8220196e+001 1.1654735e+000 1.5493704e+001 9.8320180e-001 2.1137010e+001 1.3325666e+000 1.7035444e+001 1.0804220e+000 2.4281547e+001 1.4996598e+000 1.8485168e+001 1.1776422e+000 2.7617940e+001 1.6667529e+000 2.0376871e+001 1.2748624e+000 3.1106180e+001 1.8338461e+000
2II 2II
Step by Step Solution
There are 3 Steps involved in it
Get step-by-step solutions from verified subject matter experts
