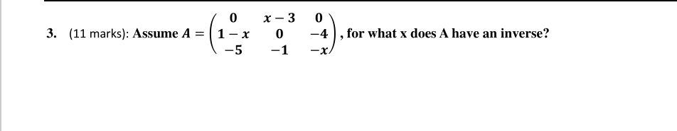
Question: with calculation please 3. (11 marks): Assume A = 5 o 1 4 x for what x does A have an inverse?

with calculation please

3. (11 marks): Assume A = 5 o 1 4 x for what x does A have an inverse?
Step by Step Solution
There are 3 Steps involved in it
Get step-by-step solutions from verified subject matter experts
