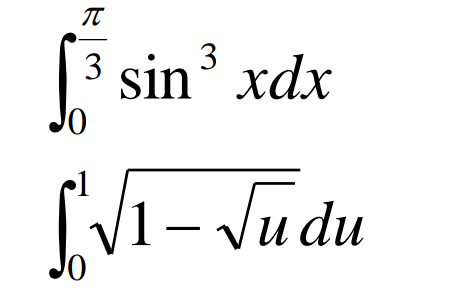
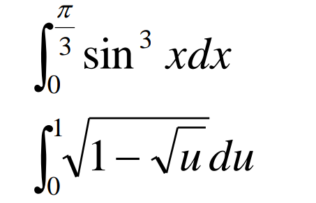
Question: Would you please help me evaluate these integrals showing the complete and organized solution? Definite Integrals 3 sin xdx 1 Cudu

Would you please help me evaluate these integrals showing the complete and organized solution? Definite Integrals

3 sin xdx 1 Cudu
Step by Step Solution
There are 3 Steps involved in it
Get step-by-step solutions from verified subject matter experts
