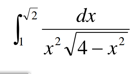
Question: Would you please help me evaluate this definite integral showing the complete and organized solution? dx
Would you please help me evaluate this definite integral showing the complete and organized solution?

dx
Step by Step Solution
There are 3 Steps involved in it
Get step-by-step solutions from verified subject matter experts
