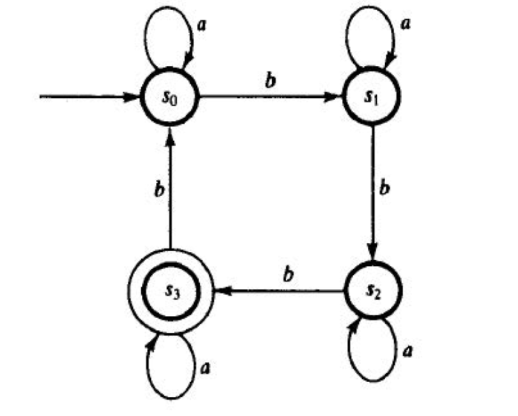
Question: Write a C++ program to simulate the following Finite State Automaton: Notes: As an output you need to provide string samples as an input and
Write a C++ program to simulate the following Finite State Automaton:

Notes:
As an output you need to provide string samples as an input and test whether the strings are accepted or rejected
2 4 0
Step by Step Solution
There are 3 Steps involved in it
Get step-by-step solutions from verified subject matter experts
