Question: Write a MATLAB function called FIRdesign which calculates the impulse response, [], of the causal FIR filter that minimizes the mean square error between (
Write a MATLAB function called FIRdesign which calculates the impulse response, [], of the causal FIR filter that minimizes the mean square error between ( ) and ( ). The function should have the form of
= FIRdesign (, , )
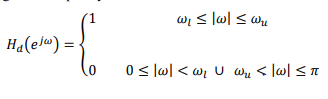
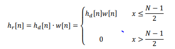
where h is the causal FIR filter's impulse response, wl = , wu = , and N is the length of the rectangular window sequence, [].
Here are some helpful formulas that help explain what the function is bases on:

![length of the rectangular window sequence, []. Here are some helpful formulas](https://dsd5zvtm8ll6.cloudfront.net/si.experts.images/questions/2024/09/66f5b073d2203_52366f5b073ce0b3.jpg)
Step by Step Solution
There are 3 Steps involved in it
Get step-by-step solutions from verified subject matter experts
