Question: Write a program in MIPS using Mars which calculates the angle in degrees using the arcsin Taylor series generic expression below when any range in
Write a program in MIPS using Mars which calculates the angle in degrees using the arcsin Taylor series generic expression below when any range in yards is input; however, the maximum range check is 42240.0 yards. Additionally, write a program in MIPS for sinx taylor series expression. Please explain each line code use the following equation taylor series of arcsinx and sinx.
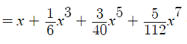
arcsinx: 
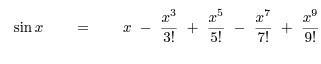
sinx = 
Please give the correct MIPS code in Taylor series which is easy and precise.
=x+61x3+403x5+1125x7 sinx=x3!x3+5!x57!x7+9!x9
Step by Step Solution
There are 3 Steps involved in it
Get step-by-step solutions from verified subject matter experts
