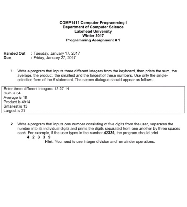
Question: Write a program that inputs three different integers from the keyboard, then prints the sum, the average, the product, the smallest and the largest of
Write a program that inputs three different integers from the keyboard, then prints the sum, the average, the product, the smallest and the largest of these numbers. Use only the single-selection form of the if statement. The screen dialogue should appear as follows: Enter three different integers: 13 27 14 Sum is 54 Average is 18 Product is 4914 Smallest is 13 Largest is 27 Write a program that inputs one number consisting of five digits from the user, separates the number into its individual digits and prints the digits separated from one another by three spaces each. For example, if the user types in the number 42339, the program should print 4 2 3 3 9
Step by Step Solution
There are 3 Steps involved in it
Get step-by-step solutions from verified subject matter experts
