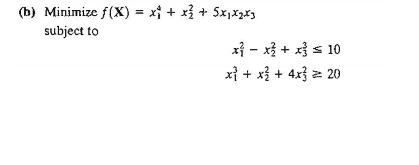
Question: Write the KKT necessary conditions for the following problems. please clear and detail solution and optimal value. (b) Minimize f(x) = x + x +

Write the KKT necessary conditions for the following problems. please clear and detail solution and optimal value.
(b) Minimize f(x) = x + x + 5x1x2x3 subject to x - x + x = 10 x + x3 + 4x} = 20
Step by Step Solution
There are 3 Steps involved in it
Get step-by-step solutions from verified subject matter experts
