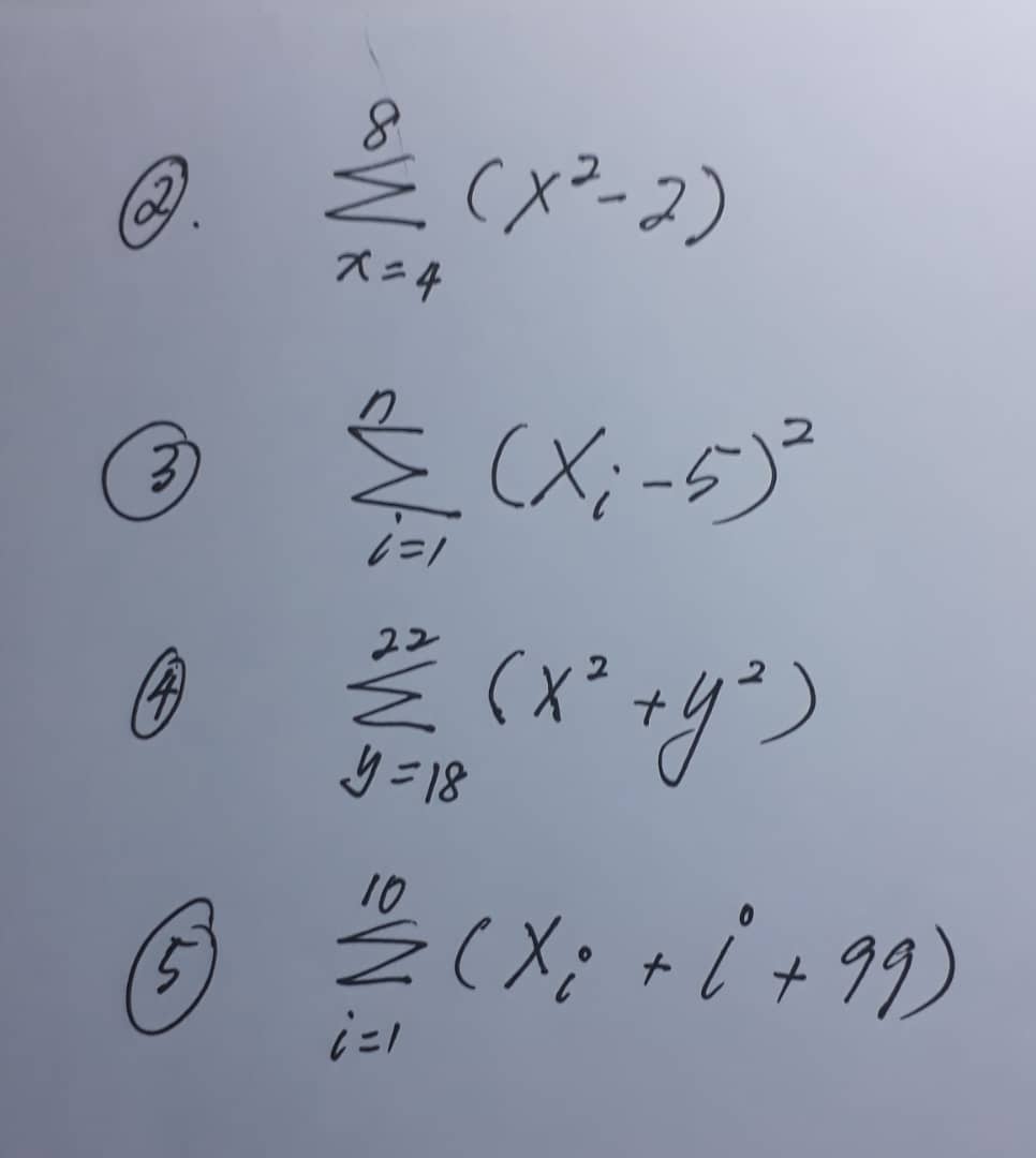
Question: ( x 2 - 2 ) ( X - 5) 2 ( x 2 + 4 3 ) y = 18 2 ( Xi +


( x 2 - 2 ) ( X - 5) 2 ( x 2 + 4 3 ) y = 18 2 ( Xi + 1 + 99 ) 6= 1
Step by Step Solution
There are 3 Steps involved in it
1 Expert Approved Answer
Step: 1 Unlock
Question Has Been Solved by an Expert!
Get step-by-step solutions from verified subject matter experts
Step: 2 Unlock
Step: 3 Unlock
