Question: Xfinity Mobile is considering a new incentive program for customers in its Young Digerati segment. Specifically, Xfinity is considering whether to give this customer segment
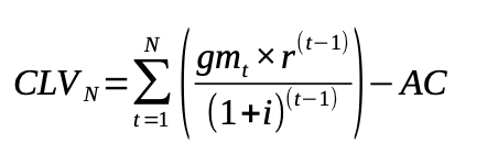
Xfinity Mobile is considering a new incentive program for customers in its "Young Digerati" segment. Specifically, Xfinity is considering whether to give this customer segment a free high-end phone at the beginning of their second year as a customer (i.e., during the t = 2 time period; please assume customers make annual payments). This phone would cost Xfinity $800. Based on the following segment projections, answer the following:
What is the segment's CLV without the free phone incentive?
Would Xfinity Mobile be justified to give this segment a free phone in Year 2 at
an $800 cost to Xfinity? Explain why or why not.


Young Digerati Acquisition cost $300 Annual contract revenue $600 Gross margin % 60% Retention rate 90% Interest rate for discounting 10% Number of years over which the customer relationship is assessed\f
Step by Step Solution
There are 3 Steps involved in it
Get step-by-step solutions from verified subject matter experts
