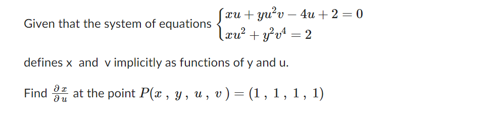
Question: xu + yu'v - 4u + 2 = 0 Given that the system of equations xu2 +yut = 2 defines x and v implicitly as


xu + yu'v - 4u + 2 = 0 Given that the system of equations xu2 +yut = 2 defines x and v implicitly as functions of y and u. Find % at the point P(x , y , u , v ) = (1 , 1, 1, 1)
Step by Step Solution
There are 3 Steps involved in it
Get step-by-step solutions from verified subject matter experts
