Question: You are considering purchasing a call option with a current stock price of $80 and an exercise price of $82, the option has 91 days
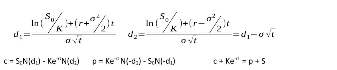
You are considering purchasing a call option with a current stock price of $80 and an exercise price of $82, the option has 91 days to maturity (use a 365-day base), the yearly risk-free rate is currently 2% and the volatility for the option is 0.35. 
Calculate the values of a European Call and a European Put Option using the normal distribution table - include your answers for N(d1), N(d2), N(-d2), & N(-d1)
d1=tln(S0/K)+(r+2/2)td2=tln(S0/K)+(r2/2)t=d1tc=S0N(d1)KerrN(d2)p=KeertN(d2)S0N(d1)c+KerT=p+S
Step by Step Solution
There are 3 Steps involved in it
Get step-by-step solutions from verified subject matter experts
