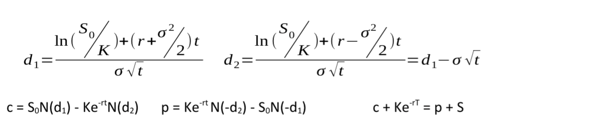
Question: You are considering purchasing a call option with a current stock price of $80 and an exercise price of $82, the option has 91 days
You are considering purchasing a call option with a current stock price of $80 and an exercise price of $82, the option has 91 days to maturity (use a 365-day base), the yearly risk-free rate is currently 2% and the volatility for the option is 0.35. 
Calculate the overnight profit or loss on the delta-hedged portfolio if the stock price increases to $84 and if it decreases to $76.
d1=tln(S0/K)+(r+2/2)td2=tln(S0/K)+(r2/2)t=d1tc=S0N(d1)KerrN(d2)p=KeertN(d2)S0N(d1)c+KerT=p+S
Step by Step Solution
There are 3 Steps involved in it
Get step-by-step solutions from verified subject matter experts
