New Semester
Started
Get
50% OFF
Study Help!
--h --m --s
Claim Now
Question Answers
Textbooks
Find textbooks, questions and answers
Oops, something went wrong!
Change your search query and then try again
S
Books
FREE
Study Help
Expert Questions
Accounting
General Management
Mathematics
Finance
Organizational Behaviour
Law
Physics
Operating System
Management Leadership
Sociology
Programming
Marketing
Database
Computer Network
Economics
Textbooks Solutions
Accounting
Managerial Accounting
Management Leadership
Cost Accounting
Statistics
Business Law
Corporate Finance
Finance
Economics
Auditing
Tutors
Online Tutors
Find a Tutor
Hire a Tutor
Become a Tutor
AI Tutor
AI Study Planner
NEW
Sell Books
Search
Search
Sign In
Register
study help
mathematics
calculus graphical, numerical, algebraic
Calculus Graphical, Numerical, Algebraic 3rd Edition Ross L. Finney, Franklin D. Demana, Bert K. Waits, Daniel Kennedy - Solutions
Find the instantaneous rate of change of the surface area S = 6x2 of a cube with respect to the edge length x at x = a.
In Exercises the curve y = ∫(x) has a vertical tangent at x = a ifIn each case, the right- and left-hand limits are required to be the same: both + ∞ or both - ∞. Use graphs to investigate whether the curve has a vertical tangent at x = 0.y = xl/3 or
Is any real number exactly 1 less than its fourth power? Give any such values accurate to 3 decimal places.
In Exercises find (a) a simple basic function as a right end behavior model and (b) a simple basic function as a left end behavior model for the function.y = x2 + e-x
Which of the following points of discontinuity ofis not removable?(A) x = - 1(B) x = 0(C) x = 1(D) x = 2(E) x = 3 f(x) = x(x - 1)(x - 2)(x + 1)(x - 3) x(x - 1)(x-2)(x + 1)(x-3)
True or False It is possible to extend the definition of a function ∫ at a jump discontinuity x = a so that ∫ is continuous at x = a. Justify your answer.
In Exercises find the limit graphically. Use the Sandwich Theorem to confirm your answer. lim x² sin x X-0
(a) Find the domain of ∫. (b) Draw the graph of ∫.(c) Explain why x = - 1 and x = 0 are points of discontinuity of ∫.(d) Are either of the discontinuities in part (c) removable? Explain.(e) Use graphs and tables to estimate limX→∞ ∫(x). Let f(x) 1+ X
True or False It is possible for a function to have more than one horizontal asymptote. Justify your answer.
In Exercises find the limit graphically. Use the Sandwich Theorem to confirm your answer. lim x² sin
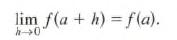
Show that ∫(x) is continuous at x = a if and only if lim f(a+h) = f(a). h→0
In Exercises find the limit graphically. Use the Sandwich Theorem to confirm your answer. lim x² cos X-0 -12
Give a convincing argument that the following function is not continuous at any real number. f(x) = [1, 10, if x is rational if x is irrational
What is the value of (A) 5/2 (B) 3/2 (C) 1 (D) 0 (E) Does not exist lim f(x)?
A rock released from rest to fall on a small airless planet falls y = gt2 m in t sec, g a constant. Suppose that the rock falls to the bottom of a crevasse 20 m below and reaches the bottom in 4 sec.(a) Find the value of g.(b) Find the average speed for the fall.(c) With what speed did the rock hit
In Exercises find the limit. Give a convincing argument that the value is correct. In x² lim x In x
What is the value of ∫(1)?(A) 5/2 (B) 3/2 (C) 1 (D) 0 (E) Does not exist
In Exercises complete the following tables and state what you believe limx→0 ∫(x) to be.a.b. X f(x) -0.1 -0.01 ? ? -0.001 ? -0.0001
In Exercises (a) find each point of discontinuity, (b) Which of the discontinuities are removable? not removable? Give reasons for your answers. -1 2 0 1 y = f(x) 2 3 X
In Exercises determine the limit graphically. Confirm algebraically. lim X-0 sin 2x X
In Exercises find limx→∞ y and limx→ -∞ y. y = cos (1/x) 1 + (1/x)
In Exercises determine the limit graphically. Confirm algebraically. lim x→0 (2 + x)³-8 X
In Exercises (a) find each point of discontinuity, (b) Which of the discontinuities are removable? not removable? Give reasons for your answers. -1 0 y = f(x) 2 X
An object is dropped from the top of a 100-m tower. Its height above ground after t sec is 100 - 4.9t2 m. How fast is it falling 2 sec after it is dropped?
In Exercises find limx→∞ y and limx→ -∞ y. y X + 5x²1 x²
In Exercises (a) find each point of discontinuity, (b) Which of the discontinuities are removable? not removable? Give reasons for your answers. - f(x) = (1-x², x-1 12. x = -1
In Exercises (a) find the slope of the curve at x = a. (b) Describe what happens to the tangent at x = a as a changes. y= 1 x-1
In Exercises (a) find the slope of the curve at x = a. (b) Describe what happens to the tangent at x = a as a changes.y = 9 - x2
In Exercises determine the limit graphically. Confirm algebraically. lim X-0 1 2+x X 1 2
In Exercises find limx→∞ y and limx→ -∞ y. y 5-12- x2 X x+15+x²
In Exercises determine the limit graphically. Confirm algebraically. 5x³ + 8x² lim 1-0 3x4-16x²
In Exercises (a) find each point of discontinuity, (b) Which of the discontinuities are removable? not removable? Give reasons for your answers. 1 f(x)=x-1' x³ - 2x + 5, x < 1 x≥1
In Exercises use graphs and tables to find the limits. lim sec x (m/2)¹
In Exercises (a) find the slope of the curve at x = a. (b) Describe what happens to the tangent at x = a as a changes.y = 2/x
In Exercises (a) find each point of discontinuity, (b) Which of the discontinuities are removable? not removable? Give reasons for your answers. 3-x. x/2, f(x) = {2, x < 2 x = 2 x>2
In Exercises determine whether the limit exists on the basis of the graph of y = ∫(x). The domain of ∫ is the set of real numbers. lim f(x)
In Exercises determine the limit graphically. Confirm algebraically. lim 12-31 +2 12-4
In Exercises use graphs and tables to find the limits. lim csc x 3-0+
In Exercises (a) find the slope of the curve at x = a. (b) Describe what happens to the tangent at x = a as a changes.y = x2 + 2
In Exercises (a) find each point of discontinuity, (b) Which of the discontinuities are removable? not removable? Give reasons for your answers. (3-x, f(x) = x 2 + 1, x2
In Exercises determine the limit graphically. Confirm algebraically. x-1 lim X1 X*
In Exercises determine whether the limit exists on the basis of the graph of y = ∫(x). The domain of ∫ is the set of real numbers. lim f(x) ab
In Exercises use graphs and tables to find the limits. lim int x X
In Exercises determine whether the curve has a tangent at the indicated point. If it does, give its slope. If not, explain why not. f(x) sinx, cos x, 0≤x≤ 3π/4 37/4 ≤x≤ 2π at x = 37/4
In Exercises use the function ∫ defined and graphed below to answer the questions.Is it possible to extend ∫ to be continuous at x = 3? If so, what value should the extended function have there? If not, why not? x² - 1, 2x, -2x + 4, 0, y=f(x) f(x) = 1, y=x²-1 y=2x 0 -1≤x≤0 0
In Exercises determine whether the limit exists on the basis of the graph of y = ∫(x). The domain of ∫ is the set of real numbers. lim f(x) X-C
In Exercises explain why you cannot use substitution to determine the limit. Find the limit if it exists. lim 1-0 (4 + x)²-16 X
In Exercises use graphs and tables to find the limits. lim x-01 int x X
In Exercises a distance-time graph is shown.(a) Estimate the slopes of the secants PQ1, PQ2, PQ3, and PQ4, arranging them in order in a table. What is the appropriate unit for these slopes?(b) Estimate the speed at point P.The figure shows the distance- time graph for a 1994 Ford® Mustang
In Exercises find the remaining functions in the list of functions: ∫, g, ∫ o g , g o ∫ f(x): 2x - 1 x+5 g(x) = 1 X +1
In Exercises find the limits. lim √9-x² X-5
Find each limit. Let f(x) = [x² - 4x + 5, (4-x, x
Which of the following lines is a horizontal asymptote for f(x): = 3xx+x-7, 2x + 4x-5 -?
In Exercises use the vertical line test (see Exercise 35) to determine whether the curve is the graph of a function.
In Exercises determine the limit. Assume that lim f(x) = 7 and lim g(x) = -3. x-b (a) lim (f(x) + g(x)) (b) lim (f(x) g(x)) 1-b (c) lim 4 g(x) f(x) (d) lim x→h x-b g(x)
The number of bears in a federal wildlife reserve is given by the population equationwhere t is in years.(a) Find p (0). Give a possible interpretation of this number.(b) Find(c) Give a possible interpretation of the result in part (b). p(1) = 200 1+7e-0.1
Which of the following is an end behavior for(A) x3 (B) 2x3 (C) 1/x3 (D) 2 (E) 1/2 f(x) = 2₁³-x²+x+1₂ ³-1
True or False If ∫(x) has a vertical asymptote at x = c, then either limx→c- ∫(x) = limx→c+ ∫(x) = ∞ or limx→c- ∫(x) =limx→c+ ∫(x) = - ∞. Justify your answer.
Let ∫ be continuous and never zero on [a, b]. Show that either ∫(x) > 0 for all x in [a, b] or ∫(x) < 0 for all x in [a, b],
A water balloon dropped from a window high above the ground falls y = 4.9t2 m in t sec. Find the balloon’s(a) Average speed during the first 3 sec of fall.(b) Speed at the instant t = 3.
Prove that if ∫ is continuous on an interval, then so is |∫|.
In Exercises find the limit. Give a convincing argument that the value is correct. In x lim x→log.x
What is the value of limx→1+ ∫(x)?(A) 5/2 (B) 3/2 (C) 1 (D) 0 (E) Does not exist
Explain why there is no value L for which limx→∞ sin x = L.
In Exercises find the limit. Give a convincing argument that the value is correct. lim X- In (x + 1) In x
What is the value of limx→1 ∫(x)?(A) 5/2 (B) 3/2 (C) 1 (D) 0 (E) Does not exist
In Exercises complete the following tables and state what you believe limx→0 ∫(x) to be. (a) X f(x) (b) f(x) -0.1 -0.01 -0.001 -0.0001 ? ? 0.1 0.01 0.001 0.0001 ? ? ? ?
In Exercises complete the following tables and state what you believe limx→0 ∫(x) to be. (a) X f(x) (b) f(x) -0.1 -0.01 -0.001 -0.0001 ? ? 0.1 0.01 0.001 0.0001 ? ? ? ?
In Exercises complete the following tables and state what you believe limx→0 ∫(x) to be. (a) X f(x) (b) f(x) -0.1 -0.01 -0.001 -0.0001 ? ? 0.1 0.01 0.001 0.0001 ? ? ? ?
To prove that limθ→0 (sin θ)/θ = 1 when θ is measured in radians, the plan is to show that the right- and left-hand limits are both 1.(a) To show that the right-hand limit is 1, explain why we can restrict our attention to 0 < θ < π/2.(b) Use the figure to show that arca of ΔΟΑΡ =
In Exercises match the function with the table. Y₁ x²-x-2 x-1
Find the slope of the curve y = x2 - x - 2 at x = a.
In Exercises the curve y = ∫(x) has a vertical tangent at x = a ifIn each case, the right- and left-hand limits are required to be the same: both + ∞ or both - ∞. Use graphs to investigate whether the curve has a vertical tangent at x = 0.y = x2/3 or
Is any real number exactly 2 more than its cube? Give any such values accurate to 3 decimal places.
In Exercises find (a) a simple basic function as a right end behavior model and (b) a simple basic function as a left end behavior model for the function.y = x + In |x|
Let ∫(x) = x2 - 3x and P = (1, ∫(1)). Find (a) The slope of the curve y = ∫(x) at P, (b) An equation of the tangent at P, (c) An equation of the normal at P.
In Exercises match the function with the table. x2 - 2x + 1 x-1
Find a value for a so that the functionIs continuous. f(x)= x² -1, 2ax, x
In Exercises determine whether the graph of the function has a tangent at the origin. Explain your answer. f(x) = x² sin 0, x #0 x=0
In Exercises match the function with the table. Y₁ = x²+x-2 x + 1
In Exercises find (a) a simple basic function as a right end behavior model and (b) a simple basic function as a left end behavior model for the function.y = x2 + sin x
At what points, if any, are the tangents to the graph of ∫(x) = x2 — 3x horizontal?
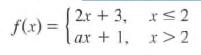
Find a value for a so that the functionIs continuous. f(x) = 2x + 3, lar + 1, ax x≤2 x>2
In Exercises determine whether the graph of the function has a tangent at the origin. Explain your answer. f(x) x sin 0, 1 X x #0 x=0
In Exercises use the graph of y = ∫(1/x) to find limx→∞ ∫(x) and limx→-∞ ∫(x).∫(x) = xex
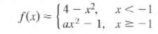
Find a value for a so that the functionIS continuous. f(x)= 14-x², x < -1 lax2-1,-1
Estimate the slope of the curve y = sin x at x = 1.
In Exercises use the graph of y = ∫(1/x) to find limx→∞ ∫(x) and limx→-∞ ∫(x).∫(x) = x2e-x
Bluetop Cab charges $3.20 for the first mile and $1.35 for each additional mile or part of a mile.(a) Write a formula that gives the charge for x miles with 0 ≤ x ≤ 20.(b) Graph the function in (a). At what values of x is it discontinuous?
Find a value for a so that the functionIS continuous. x² + x + a₂ x < 1 2 x 21 f(x) = {x² +
In Exercises use the graph of y = ∫(1/x) to find limx→∞ ∫(x) and limx→-∞ ∫(x). f(x) = In x X
Table 2.4 gives the population of Florida for several years.(a) Let x = 0 represent 1990, x = I represent 1991, and so forth. Make a scatter plot for the data.(b) Let P represent the point corresponding to 2003, Q1 the point corresponding to 1998, Q2 the point corresponding to 1999,.... and Q5 the
In Exercises complete parts (a), (b), and (c) for the piecewise defined function.(a) Draw the graph of ∫.(b) Determine limx→c+ ∫(x) and limx→c- ∫(x).(c) Does limx→c ∫(x ) exist? If so, what is it? If not, explain. 3-x, x < 2 +1, x>2 c=2, f(x) = x 2
Explain why the equation e-x = x has at least one solution.
In Exercises complete parts (a), (b), and (c) for the piecewise defined function.(a) Draw the graph of ∫.(b) Determine limx→c+ ∫(x) and limx→c- ∫(x).(c) Does limx→c ∫(x ) exist? If so, what is it? If not, explain. 13-x, x/2. c = 2, f(x) = 2, x 2
In Exercises use the graph of y = ∫(1/x) to find limx→∞ ∫(x) and limx→-∞ ∫(x). f(x) = x sin
A welder’s contract promises a 3.5% salary increase each year for 4 years and Luisa has an initial salary of $36,500.(a) Show that Luisa’s salary is given bywhere t is the time, measured in years, since Luisa signed the contract.(b) Graph Luisa’s salary function. At what values of t is it
(a) Find the domain of ∫.(b) Write an equation for each vertical asymptote of the graph of ∫.(c) Write an equation for each horizontal asymptote of the graph of ∫.(d) Is ∫ odd, even, or neither? Justify your answer.(e) Find all values of x for which ∫ is discontinuous and classify each
In Exercises complete parts (a), (b), and (c) for the piecewise defined function.(a) Draw the graph of ∫.(b) Determine limx→c+ ∫(x) and limx→c- ∫(x).(c) Does limx→c ∫(x ) exist? If so, what is it? If not, explain. x < 1 e = 1, f(x)=x-1' x³ 2x + 5, x21 -
In Exercises find the limit of ∫(x) as (a) x→ - ∞, (b) x→∞, (c) x→0-, and (d) x→0+. f(x) = (1/x, x
Showing 100 - 200
of 754
1
2
3
4
5
6
7
8
Step by Step Answers