New Semester
Started
Get
50% OFF
Study Help!
--h --m --s
Claim Now
Question Answers
Textbooks
Find textbooks, questions and answers
Oops, something went wrong!
Change your search query and then try again
S
Books
FREE
Study Help
Expert Questions
Accounting
General Management
Mathematics
Finance
Organizational Behaviour
Law
Physics
Operating System
Management Leadership
Sociology
Programming
Marketing
Database
Computer Network
Economics
Textbooks Solutions
Accounting
Managerial Accounting
Management Leadership
Cost Accounting
Statistics
Business Law
Corporate Finance
Finance
Economics
Auditing
Tutors
Online Tutors
Find a Tutor
Hire a Tutor
Become a Tutor
AI Tutor
AI Study Planner
NEW
Sell Books
Search
Search
Sign In
Register
study help
mathematics
precalculus 1st
Calculus For Scientists And Engineers Early Transcendentals 1st Edition William L Briggs, Bernard Gillett, Bill L Briggs, Lyle Cochran - Solutions
Evaluate the derivatives of the following functions. f(x) = x 77
Evaluate the derivatives of the following functions. h(t) = (sin t) Vi
Evaluate the derivatives of the following functions. H(x) = (x + 1)²x
Evaluate the derivatives of the following functions. p(x) = x-lnx
Evaluate the derivatives of the following functions. ,sin y G(y) = y sin
Let R be the region bounded by y = x2, x = 1, and y = 0. Use the shell method to find the volume of the solid generated when R is revolved about the following lines.x = -2
Evaluate the derivatives of the following functions. Q(t) = t¹/t
Let R be the region bounded by y = x2, x = 1, and y = 0. Use the shell method to find the volume of the solid generated when R is revolved about the following lines.x = 2
Let R be the region bounded by y = x2, x = 1, and y = 0. Use the shell method to find the volume of the solid generated when R is revolved about the following lines.y = -2
Let R be the region bounded by y = x2, x = 1, and y = 0. Use the shell method to find the volume of the solid generated when R is revolved about the following lines.y = 2
Use either the washer or shell method to find the volume of the solid that is generated when the region in the first quadrant bounded by y = x2, y = 4, and x = 0 is revolved about the following lines.x = -1
Use either the washer or shell method to find the volume of the solid that is generated when the region in the first quadrant bounded by y = x2, y = 4, and x = 0 is revolved about the following lines.y = 6
Compute the following derivatives using the method of your choice. d 4 (x²r) dx
Compute the following derivatives using the method of your choice. d dx - (e-10x²)
Compute the following derivatives using the method of your choice. [(0)]
The burning of fossil fuels releases greenhouse gases into the atmosphere. In 1995, the United States emitted about 1.4 billion tons of carbon into the atmosphere, nearly one-fourth of the world total. China was the second largest contributor, emitting about 850 million tons of carbon. However,
Compute the following derivatives using the method of your choice. d dx (x-tan x)
Compute the following derivatives using the method of your choice. d dx -(x² + e*)
Compute the following derivatives using the method of your choice. d dx 1 + 4)*
Use either the washer or shell method to find the volume of the solid that is generated when the region in the first quadrant bounded by y = x2, y = 4, and x = 0 is revolved about the following lines.
Compute the following derivatives using the method of your choice. dx (ort)-x) - P
Compute the following derivatives using the method of your choice. d dx (cos (x² sin x))
Evaluate the following integrals. S." 2sin x cos x dx
Evaluate the following integrals. x²10¹² dx
Evaluate the following integrals. 2e 3ln.x X - dx
Evaluate the following integrals. 1.²0 (In x)5 x dx
Evaluate the following integrals. In²x + 2 ln x - 1 X dx
Evaluate the following integrals. pln 2 e 3x 0 e-3x dx e³x + e-3x
Evaluate the following integrals. sin (In x) 4x dx
Evaluate the following integrals. ¹16* 42x S 0 dx
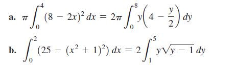
Without evaluating integrals, explain why the following equalities are true. 8 # [ (8 - 2x)2² dx = 2π [ ³ (4-2) dy a. π •L(25 b. (25 (x² + 1)²) dx = 2 -2, y Vy-Toy dy
Determine the following indefinite integrals. Check your work by differentiation. + √x dx x
Determine the following indefinite integrals. Check your work by differentiation. ^2 + x² 1 + x² dx
Verify the following indefinite integrals by differentiation. These integrals are derived in later chapters. [x²0 x² cos x³ dx = 1/1/₁ sin x³ + C
Determine the following indefinite integrals. Check your work by differentiation. *1 + √x X - dx
Verify the following indefinite integrals by differentiation. These integrals are derived in later chapters. X (x² − 1)² dx = . 1 2(x² - 1) + C
If f is an odd function, why is a Sa f(x) dx = 0?
Use geometry to evaluate SV8x - x² dx.
Use the limit definition of the definite integral with right Riemann sums and a regular partionto evaluate the following definite integrals. Use the Fundamental Theorem of Calculus to check your answer. n (J#fx) dx = lim Σf(xk)Δt)
Show that xx grows faster than bx as x → ∞ , for b > 1.
Use the limit definition of the definite integral with right Riemann sums and a regular partionto evaluate the following definite integrals. Use the Fundamental Theorem of Calculus to check your answer. n (J#fx) dx = lim Σf(xk)Δt)
Use the identities sin2 x = (1 - cos 2x)/2 and cos2 x = 1(1 + cos 2x)/2 to find ∫ sin2 x dx and ∫ cos2 x dx.
Use the limit definition of the definite integral with right Riemann sums and a regular partionto evaluate the following definite integrals. Use the Fundamental Theorem of Calculus to check your answer. n (J#fx) dx = lim Σf(xk)Δt)
Use the limit definition of the definite integral with right Riemann sums and a regular partionto evaluate the following definite integrals. Use the Fundamental Theorem of Calculus to check your answer. n (J#fx) dx = lim Σf(xk)Δt)
Use symmetry to evaluate the following integrals. L -2 x⁹ dx
Explain what net area means.
Use Table 5.4 to rewriteas the sum of two integrals.Data from in Table 5.4 Si(2x³4x) dx
Use symmetry to evaluate the following integrals. 200 2x³ dx J-200
How do you interpret geometrically the definite integral of a function that changes sign on the interval of integration?
Evaluatewhere a and b are constants. b d af (1) f(t) dt and- d f d dx dx f(t) dt,
Use symmetry to evaluate the following integrals. TT/4 -π/4 cos x dx
Use symmetry to evaluate the following integrals. L₂ (3x³ -2 (3x8 - 2) dx
Use symmetry to evaluate the following integrals. TT/2 5 sin x dx -π/2
Find ∫ cos2 x dx.
Use symmetry to evaluate the following integrals. 2 L(x² − 3x² + 2x (.x.9 -2 3x5+2x²10) dx
Evaluate the following integrals. -2 (3x4 - 2x + 1) dx
Use symmetry to evaluate the following integrals. TT/4 -π/4 sin³ x dx
Use symmetry to evaluate the following integrals. 10 LO X -10 V200 x² dx
Use symmetry to evaluate the following integrals. •π/2 -π/2 (cos 2x + cos x sin x - 3 sin x5) dx
Use symmetry to evaluate the following integrals. Lo (1 − x) dx -1
Evaluate the following integrals. .2 [²(x 0 (x + 1)³ dx
Use symmetry to evaluate the following integrals. Draw a figure to interpret your result. 77 sin x dx
Evaluate the following integrals. Sc 0 21 (4x²1 - 2x¹6 + 2x¹6+1) dx
Use symmetry to evaluate the following integrals. Draw a figure to interpret your result. 2π cos x dx
Evaluate the following integrals. [(9x8 (9x8 - 7x) dx
Use symmetry to evaluate the following integrals. Draw a figure to interpret your result. 2π7 0 sin x dx
Use symmetry to evaluate the following integrals. Draw a figure to interpret your result. 77 S 0 cos x dx
Use a change of variables to find the following indefinite integrals. Check your work by differentiation. *(√x + 1)² 2√x - dx
Evaluate the following integrals. Let -2 e4x+8 dx
Use a change of variables to find the following indefinite integrals. Check your work by differentiation. 1₁ 1 10x - 3 dx
Use a change of variables to find the following indefinite integrals. Check your work by differentiation. [(x² (x² + x)¹0 (2x + 1) dx
Evaluate the following integrals. 2 x² .3 x³ + 27 S -dx
Evaluate the following integrals. [√x (√x + 1) dx 0
Find the average value of the following functions on the given interval. Draw a graph of the function and indicate the average value. f(x) = x² + 1; [-2,2]
Find the average value of the following functions on the given interval. Draw a graph of the function and indicate the average value. 1 = x² + + 7² (-1,1] 1 f(x) =
Use a change of variables to find the following indefinite integrals. Check your work by differentiation. [sin' sin ¹00 cos 0 de Ꮎ
Use a change of variables to find the following indefinite integrals. Check your work by differentiation. [x³(x+ x³(x4 + 16)6 dx
Evaluate the following integrals. [y² (3y³ + 1)² dy
Evaluate the following integrals. S dx V4 - x²
Use geometry (not Riemann sums) to evaluate the following definite integrals. Sketch a graph of the integrand, show the region in question, and interpret your result. 0 4 (8 - 2x) dx
Use a change of variables to find the following indefinite integrals. Check your work by differentiation. dx V1 - 9x²
Find the average value of the following functions on the given interval. Draw a graph of the function and indicate the average value. f(x) = cos 2x; [-]
Find the average value of the following functions on the given interval. Draw a graph of the function and indicate the average value. f(x) = 1/x; [1, e]
Use a change of variables to find the following indefinite integrals. Check your work by differentiation. [x³ sin x² sin x ¹0 dx
Evaluate the following integrals. x sin x² cos8 x² dx
Evaluate the following integrals. 3 X o dx √25-20
Evaluate the following integrals. I sin sin ²50 de 2
Find the average value of the following functions on the given interval. Draw a graph of the function and indicate the average value. f(x)= e2x [0, In 2]
Find the average value of the following functions on the given interval. Draw a graph of the function and indicate the average value. f(x) = cos x; [22-]
Evaluate the following integrals using the Fundamental Theorem of Calculus. 2 S 0 4x³ dx
Use a change of variables to find the following indefinite integrals. Check your work by differentiation. √(x6- (x63x²)4 (x5 - x) dx
Use a change of variables to find the following indefinite integrals. Check your work by differentiation. X 12 x-2 dx
Approximate the area of the region bounded by the graph of f(x) = 100 - x2 and the x-axis on [0, 10] with n = 5 subintervals. Use the midpoint of each sub interval to determine the height of each rectangle (see figure). УА 100 80 60 40 20 + 0 2 4 f(x) = 100-x² 6 8 10 X
Evaluate the following integrals using the Fundamental Theorem of Calculus. 0 2 (3x² + 2x)dx
Evaluate the following integrals. 77 L (1 - cos² 30) de 0
Find the average value of the following functions on the given interval. Draw a graph of the function and indicate the average value. f(x) = x(1x); [0, 1]
Evaluate the following integrals using the Fundamental Theorem of Calculus. 슬! 2 X dx
Evaluate the following integrals. In 2 ex 1 + ²x - dx
Evaluate the following integrals. x² + 2x .3 x³ + 3x² 2 -dx 6x
Find the average value of the following functions on the given interval. Draw a graph of the function and indicate the average value.for any positive integer n. 1/n. f(x) = x/n; [0, 1],
Showing 2300 - 2400
of 8578
First
17
18
19
20
21
22
23
24
25
26
27
28
29
30
31
Last
Step by Step Answers