New Semester
Started
Get
50% OFF
Study Help!
--h --m --s
Claim Now
Question Answers
Textbooks
Find textbooks, questions and answers
Oops, something went wrong!
Change your search query and then try again
S
Books
FREE
Study Help
Expert Questions
Accounting
General Management
Mathematics
Finance
Organizational Behaviour
Law
Physics
Operating System
Management Leadership
Sociology
Programming
Marketing
Database
Computer Network
Economics
Textbooks Solutions
Accounting
Managerial Accounting
Management Leadership
Cost Accounting
Statistics
Business Law
Corporate Finance
Finance
Economics
Auditing
Tutors
Online Tutors
Find a Tutor
Hire a Tutor
Become a Tutor
AI Tutor
AI Study Planner
NEW
Sell Books
Search
Search
Sign In
Register
study help
mathematics
precalculus 1st
Calculus For Scientists And Engineers Early Transcendentals 1st Edition William L Briggs, Bernard Gillett, Bill L Briggs, Lyle Cochran - Solutions
Evaluate the following limits. x" lim x1 x 1 1 n is a positive integer
Determine the following indefinite integrals. Check your work by differentiation. Jo (4z1/3 - z-1/³) dz
Evaluate the following limits. lim x→3 v-1-√₂²-5 V-3 V
Use linear approximations to estimate the following quantities. Choose a value of a to produce a small error.1/3√510
Evaluate the following limits. y² + y - 6 V8-y²-y 2 lim y-2
Determine the following indefinite integrals. Check your work by differentiation. 2 √√r² dr [V
Determine the following indefinite integrals. Check your work by differentiation. 1218 t 13 | - dt
Evaluate the following limits. x² 4x + 4 lim x-2 sin² (7x)
Determine the following indefinite integrals. Check your work by differentiation. 4x4 X 6x² -dx
Find the intervals on which f is increasing and decreasing.ƒ(x) = tan-1 x
Evaluate the following limits. lim 3 4x³2x² + 6 3 TX³ + 4
Evaluate the following limits. lim x-2 √3x + 2-2 x 2
Determine the following indefinite integrals. Check your work by differentiation. [(₁ ¹7) di dt sin 4t sin-
Evaluate the following limits. 3x4 – x² 2 lim x→ 6x4 + 12
Determine the following indefinite integrals. Check your work by differentiation. [(s (sin 2y + cos 3y) dy
Evaluate the following limits. tan x lim X→π/23/(2x - π)
Evaluate the following limits. lim x →∞ e3x 3e³x + 5
Determine the following indefinite integrals. Check your work by differentiation. [2 2 sec² 2v dv
Determine the following indefinite integrals. Check your work by differentiation. [(s (sec² x - 1) dx
Evaluate the following limits. In (3x + 5e*) In (7x + 3e²x) lim x→∞ In
Determine the following indefinite integrals. Check your work by differentiation. sin - 1 cos²0 - dᎾ
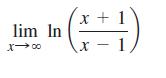
Evaluate the following limits. In (3x + 5) lim x In (7x + 3) + 1 →∞⁰
Determine the following indefinite integrals. Check your work by differentiation. [(s (sec² 0 + sec 0 tan 0) de
Determine the following indefinite integrals. Check your work by differentiation. (31²+ sec² 21)dt
Evaluate the following limits. Use l’Hôpital’s Rule when needed. lim csc x sinx x-0
Evaluate the following limits. lim X→∞0 x² - In 2 (2/x) 3x² + 2x
Consider the following functions and express the relationship between a small change in x and the corresponding change in y in the form dy = f' (x) dx. f(x) = 3x³ - 4x
Limits Evaluate the following limits. Use l’Hôpital’s Rule when needed. lim xx-00 In³ x √x
Evaluate the following limits. 2 tan x lim x→/2 sec²x
Determine the following indefinite integrals. Check your work by differentiation. Іся csc 3Ф cot 3Ф do
Evaluate the following limits. lim x csc x x-0
Determine the following indefinite integrals. Check your work by differentiation. √₁ 3 4 + v² 2 av
Evaluate the following limits. Use l’Hôpital’s Rule when needed. [ - x X x+1 (: © lim In
Evaluate the following limits. lim x-0+ cotx X
Evaluate the following integrals. S 10V Vx dx
Evaluate the following integrals. et 4e + 6 Sz dx
Evaluate the following integrals. L Þei dx 2 x ln x
Evaluate the following integrals. x + 4 x² + 8x + 25 2 13 dx
Evaluate the following integrals. dx √x²-9 2 =,x > 3
Evaluate the following integrals. In 3 In 2 coth x dx
Evaluate the following integrals analytically. dx √4- 2 X'
Evaluate the following integrals. ex Ve²x + 4 2x =dx
Evaluate the following integrals. x² X S Jo 9-x6 dx
Evaluate the following integrals analytically. dy y²√9-y² 2 S
Evaluate the following integrals or state that they diverge. +2 Lov dx 2√4-x²
Evaluate the following integrals analytically. dx √9x² V9x² - 25 X V 5 3
Evaluate the following integrals or state that they diverge. • m/2 sec Ꮎ dᎾ
Evaluate the following integrals analytically. 0 √3/2 x² (1-x²)3/2 dx
Evaluate the following integrals analytically. 0 √3/2 4 -dx 9 + 4x²
Evaluate the following integrals analytically. (1 1 - u²) 5/² -du u 8
Evaluate the following integrals analytically. [si sinh' x dx
Evaluate the following integrals analytically. se sech² x sinh x dx
Use the reduction formulas in a table of integrals to evaluate the following integrals. Stan tan* 3y dy
Evaluate the following integrals. dx -2 X x² - 2x + 10
Evaluate the following integrals analytically. x² cosh x dx
Evaluate the following integrals analytically. In(√3+2) 0 cosh x dx V4 - sinh² x
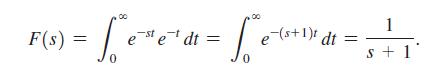
A powerful tool in solving problems in engineering and physics is the Laplace transform. Given a function f(t), the Laplace transform is a new function F(s) defined bywhere we assume that s is a positive real number. For example, to find the Laplace transform of f(t) = e-t, the following improper
Evaluate the following integrals analytically. x² 2 dx 2x 15
Use numerical methods or a calculator to approximate the following integrals as closely as possible. St In x 1 + x dx TT² 12
Evaluate the following integrals analytically. x ³ 3 dx - 2x²
Let Use any method you choose to find a good approximation to I. You may use the facts that I = x² - x 2 St -dx. In x 0
Evaluate the following integrals analytically. - dy 2 (y + 1)(y² + + 1)
A powerful tool in solving problems in engineering and physics is the Laplace transform. Given a function f(t), the Laplace transform is a new function F(s) defined bywhere we assume that s is a positive real number. For example, to find the Laplace transform of f(t) = e-t, the following improper
A powerful tool in solving problems in engineering and physics is the Laplace transform. Given a function f(t), the Laplace transform is a new function F(s) defined bywhere we assume that s is a positive real number. For example, to find the Laplace transform of f(t) = e-t, the following improper
A powerful tool in solving problems in engineering and physics is the Laplace transform. Given a function f(t), the Laplace transform is a new function F(s) defined bywhere we assume that s is a positive real number. For example, to find the Laplace transform of f(t) = e-t, the following improper
A powerful tool in solving problems in engineering and physics is the Laplace transform. Given a function f(t), the Laplace transform is a new function F(s) defined bywhere we assume that s is a positive real number. For example, to find the Laplace transform of f(t) = e-t, the following improper
Solve the following initial value problems. y' (t) = 1 + e', y(0) = 4
Evaluate the following improper integrals (Putnam Exam, 1939). 3 dx dx 2. S₁ √(x-1)(3-2) D² S₁ (²+1²+1 ed- a. b. ex+1 +e³-x 1
Solve the following initial value problems. y"(t) = 12t - 20t³, y(0) = 1, y'(0) = 0
Consider the tank problem in Example 6. For the following parameter values, find the water height function. Then determine the approximate time at which the tank is first empty and graph the solution.Data from in Example 6 H = 1.96 m, A = 1.5 m², a = 0.3 m²
Solve the following initial value problems. y' (t) = sint + cos: sin t + cos 2t, y(0) = 4
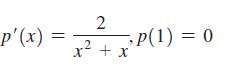
Solve the following initial value problems. 0 = (1) *_x - x = (x), α
Consider the tank problem in Example 6. For the following parameter values, find the water height function. Then determine the approximate time at which the tank is first empty and graph the solution.Data from in Example 6 H = 2.25 m, A = 2 m², a = 0.5 m²
Solve the following initial value problems. y'(x) = 4 sec² 2x, y(0) = 8
Find the general solution of the following differential equations. y' (t) = tlnt + 1
Solve the following initial value problems. 4e²-8e-2x, u(0) = 1, u'(0) = 3 u"(x) = 4e²x =
Find the solution of the following initial value problems. y' (t) = te', y(0) = -1
Find the solution of the following initial value problems. u'(x) = 1 2 x² + 16 4, u(0) = 2
Find the general solution of the following differential equations. u'(x) 2(x - 1) 2 x² + 4
Verify that the given function y is a solution of the differential equation that follows it. Assume that C is an arbitrary constant. y(t) = Ce; y'(t) + 5y(t) = 0
Find the general solution of the following differential equations. v' (t) 4 1² - 4
Find the general solution of the following differential equations. y"(x) = X (1-x²)³/2
Verify that the given function is a solution of the differential equation that follows it. u(t) = C₁e¹ + C₂te¹; u"(t) - 2u' (t) + u(t) = 0
Verify that the given function is a solution of the differential equation that follows it. g(x) = C₁e-2x + C₂xe-2x + 2; g"(x) + 4g'(x) + 4g(x) = 8
Find the solution of the following initial value problems. p'(x) = 2 x² + - P(1) = 0 x²
Verify that the given function is a solution of the differential equation that follows it. u(t) = C₁t² + C₂t³; tu"(t) - 4tu' (t) + 6u(t) = 0
Find the solution of the following initial value problems. y"(t) = tet, y(0) = 0, y'(0) = 1
Verify that the given function is a solution of the differential equation that follows it. u(t) = C₁t5+ C₂t4 - 1³; t²u"(t) - 20u(t) = 14t³
Verify that the given function is a solution of the differential equation that follows it. u(t) = Cel/(4¹); u' (t) + - u(t) = 0
Verify that the given function is a solution of the differential equation that follows it. z(t) = C₁e + C₂e²t + Cze-3t - e¹; z."(t) + 2z"(t) - 5z'(t) — 6z(t) = 8e¹
Evaluate the following integrals analytically. Sta tan u du
Evaluate the following integrals or state that they diverge. S In x² dx
Evaluate the following integrals analytically. 7/6 sin Ꮎ dᎾ
Evaluate the following integrals or state that they diverge. 1 11 dx (x - 3)²/3
Evaluate the following integrals or state that they diverge. [₁3 X 2 x² + 2x + 1 - dx
Evaluate the following integrals analytically. π/2 cos+ x dx
Evaluate the following integrals or state that they diverge. 0 10 dx 10- x
Evaluate the following integrals analytically. S sec5 z tan z dz
Evaluate the following integrals or state that they diverge. 8 S₁²= dx x-1
Evaluate the following integrals analytically. f cos- 40 ᏧᎾ
Showing 1700 - 1800
of 8578
First
11
12
13
14
15
16
17
18
19
20
21
22
23
24
25
Last
Step by Step Answers