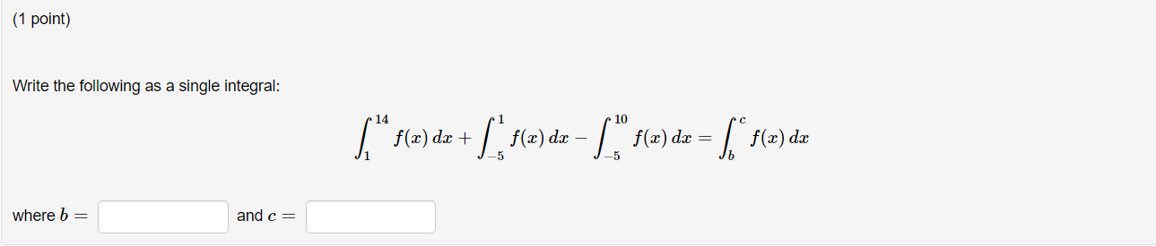
Question: 1. (1 point) Write the following as a single integral: f(x)dat (f(x)de - [ f(x) do = f(x) dx where b = and c =(1





1.
![dx = 6, -7 then / [1f(x) + 6g(x)]dx = -7(1 point)](https://s3.amazonaws.com/si.experts.images/answers/2024/06/6667e9a39b29f_0516667e9a38b259.jpg)




(1 point) Write the following as a single integral: f(x)dat (f(x)de - [ f(x) do = f(x) dx where b = and c =(1 point) Book Problem 40 If Sio f(x) dx = 5.6 , and fig f(x) dx = 14.9, then fo f(x) dx =(1 point) Book Problem 41 If / f(x)dx = 9, and g(x ) dx = 6, -7 then / [1f(x) + 6g(x)]dx = -7(1 point) Book Problem 42 Consider the function 3 ifx 3 Evaluate the definite integral J ; f(x) dac(1 point) Book Problem 47 Given that 1 - f(x)
Step by Step Solution
There are 3 Steps involved in it
Get step-by-step solutions from verified subject matter experts
