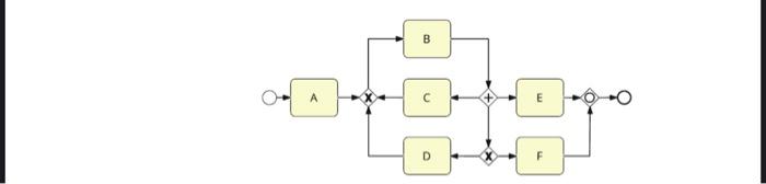
Question: 10- Consider the process model in Figure 5.21. Does this model suffer from soundness problems? If so, what behavioural rules does it violate? If the

Step by Step Solution
There are 3 Steps involved in it
1 Expert Approved Answer
Step: 1 Unlock
Question Has Been Solved by an Expert!
Get step-by-step solutions from verified subject matter experts
Step: 2 Unlock
Step: 3 Unlock
