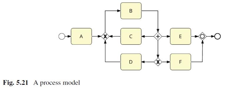
Question: Consider the process model in Figure 5.21. Does this model suffer from soundness problems? If so, what behavioural rules does it violate? If the model


Step by Step Solution
There are 3 Steps involved in it
1 Expert Approved Answer
Step: 1 Unlock
Question Has Been Solved by an Expert!
Get step-by-step solutions from verified subject matter experts
Step: 2 Unlock
Step: 3 Unlock
