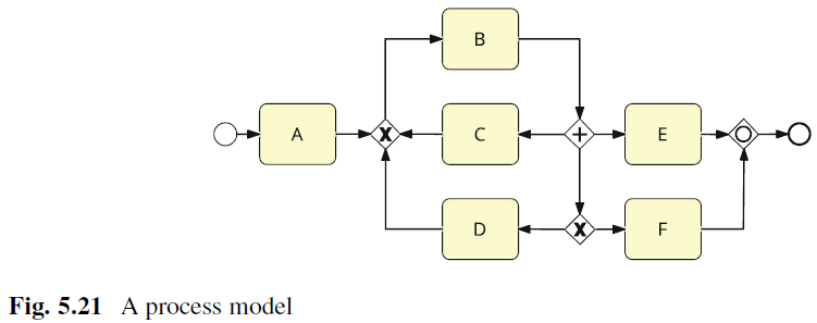
Question: Consider the process model in Figure 5.21. Does this model suffer from soundness problems? If so, what behavioural rules does it violate? If the model
Consider the process model in Figure 5.21. Does this model suffer from soundness problems? If so, what behavioural rules does it violate? If the model is unsound, how can it be fixed without removing any activity?

Fig. 5.21 A process model
Step by Step Solution
There are 3 Steps involved in it
Get step-by-step solutions from verified subject matter experts
