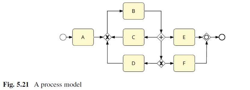
Question: Consider the process model in the figure below. Does it suffer from soundness problems? Please replot the sound model. I ONLY REQUIRE THE NEW MODEL,
Consider the process model in the figure below. Does it suffer from soundness problems? Please replot the sound model.
I ONLY REQUIRE THE NEW MODEL, NOT THE EXPLANATION
Step by Step Solution
There are 3 Steps involved in it
1 Expert Approved Answer
Step: 1 Unlock
Question Has Been Solved by an Expert!
Get step-by-step solutions from verified subject matter experts
Step: 2 Unlock
Step: 3 Unlock
