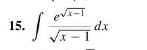
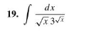
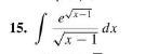
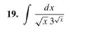
Question: 1-30 Evaluate the integrals by making appropriate #-substi tutions and applying the formulas reviewed in this section.f19 130 Evaluate the integrals by making appropriate u-substi-






1-30 Evaluate the integrals by making appropriate #-substi tutions and applying the formulas reviewed in this section.\f19
130 Evaluate the integrals by making appropriate u-substi- tutions and applying the formulas reviewed in this section.
Step by Step Solution
There are 3 Steps involved in it
Get step-by-step solutions from verified subject matter experts
