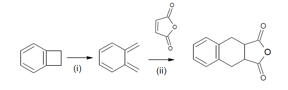
Question: 1.ii)The following reaction scheme involves two pericyclic reactions, (i) and (ii). Identify the type of pericyclic reaction involved in each step? Use Woodward-Hofmann rule to
1.ii)The following reaction scheme involves two pericyclic reactions, (i) and (ii). Identify the type of pericyclic reaction involved in each step? Use Woodward-Hofmann rule to show that both steps are thermally allowed.

Dace food (i)
Step by Step Solution
There are 3 Steps involved in it
Get step-by-step solutions from verified subject matter experts
