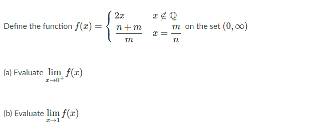
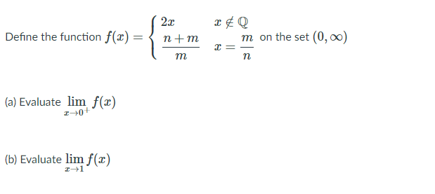
Question: 2x Define the function f(@) = n + m m on the set (0, co) m n (a) Evaluate lim f(x) (b) Evaluate lim f(x)


2x Define the function f(@) = n + m m on the set (0, co) m n (a) Evaluate lim f(x) (b) Evaluate lim f(x)
Step by Step Solution
There are 3 Steps involved in it
Get step-by-step solutions from verified subject matter experts
