Question: 5) Compute At for A = To I -2 - 3 using the following three methods: - a Direct series expansion of e At b


![At b eft = d [ ( SI- A )'] PAPE -1](https://dsd5zvtm8ll6.cloudfront.net/si.experts.images/questions/2024/10/6709aed912253_8326709aed8e454e.jpg)





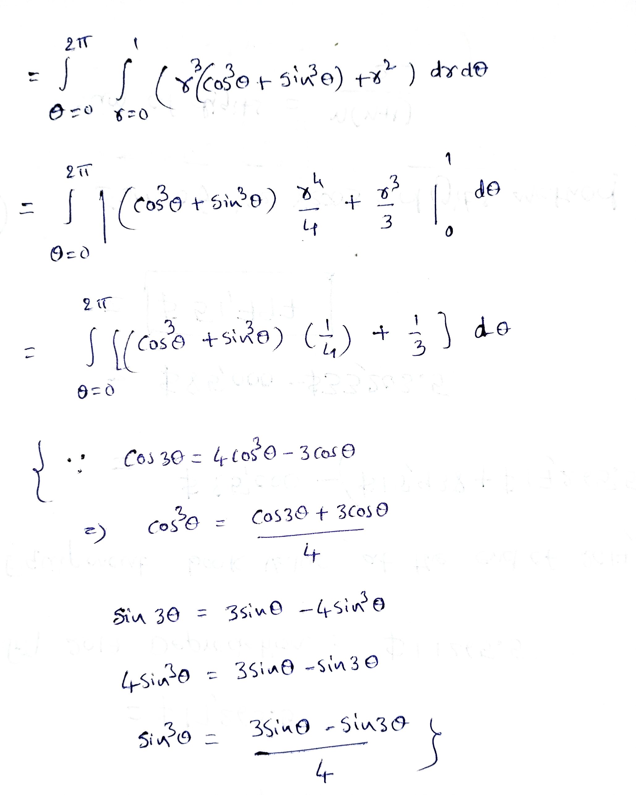
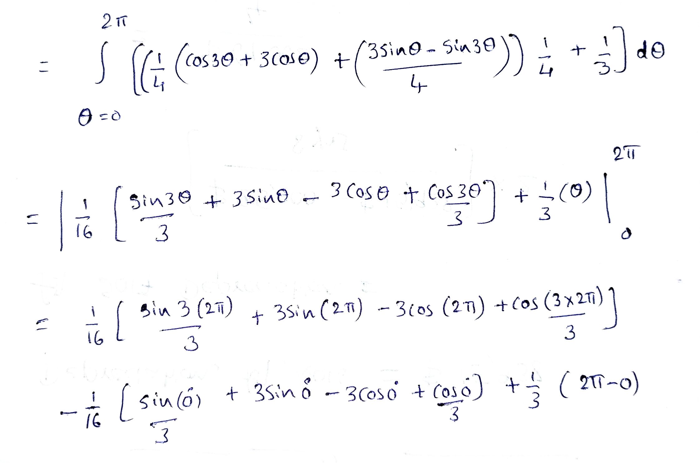
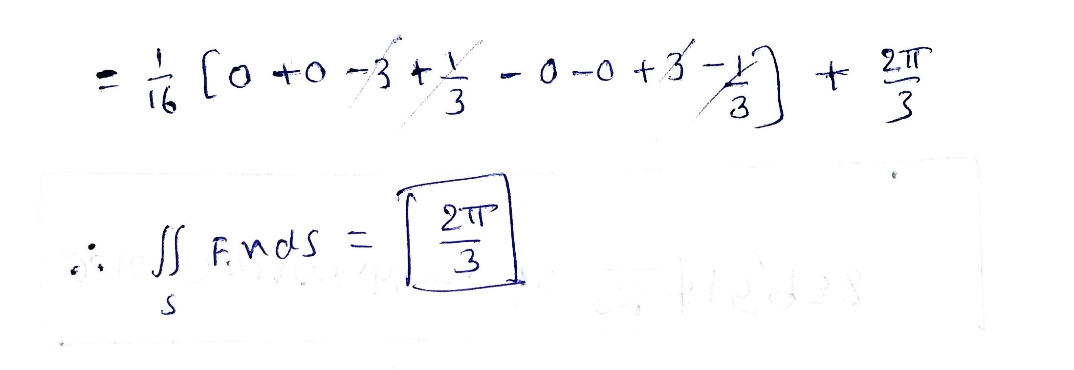
5) Compute At for A = To I -2 - 3 using the following three methods: - a Direct series expansion of e At b eft = d [ ( SI- A )'] PAPE -1 At using the property e Pep ( Hint : for C use the diagonalizing P matrixGiven that, F ( x , y , 2 ) = 20 1 + y j + z k Surface Z = J x792 (05x ty s1 170 97,0 ) The Region R is a shadow of the Surface . The unit circle in xy plane. 2 = 2 + 9 2 Z x = 2 1 x 79 2 25x\f\f\f( 8 ( coso + sine ) + % 2 ) dodo 9=0 6:0 2 71 coso + sino ) L W + do w / a 9=0 O 2 17 ( Coso + sing ) ( ? ) + 3 ) do 0=0 Cos 30 =41080 - 3co50 2 ) cost = cos3o + 30 050 Sin 30 = 3sino - 4sino 4sino = 3sino - sin 30 sing - 3sino- Sin30\f\f
Step by Step Solution
There are 3 Steps involved in it
Get step-by-step solutions from verified subject matter experts
