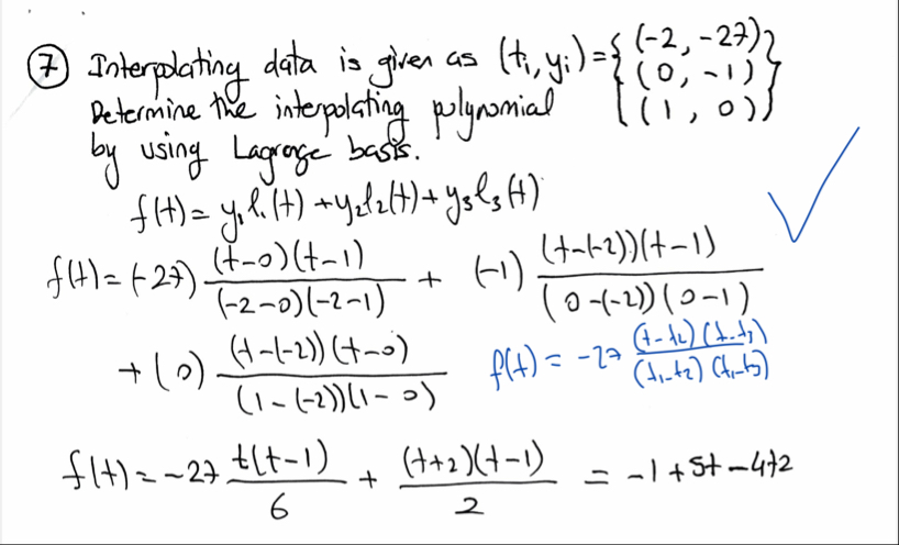
Question: ( 7 ) Interpolating data is given as ( t i , y i ) = { [ ( - 2 , - 2 7
Interpolating data is given as Determine the interpolating
by using Lagrage basis. by using Lagrage bass.
Step by Step Solution
There are 3 Steps involved in it
1 Expert Approved Answer
Step: 1 Unlock
Question Has Been Solved by an Expert!
Get step-by-step solutions from verified subject matter experts
Step: 2 Unlock
Step: 3 Unlock
