Question: At what point does the line normal to the graph of y = 2 + 4x + 2x- at (1, 8) intersect the parabola a




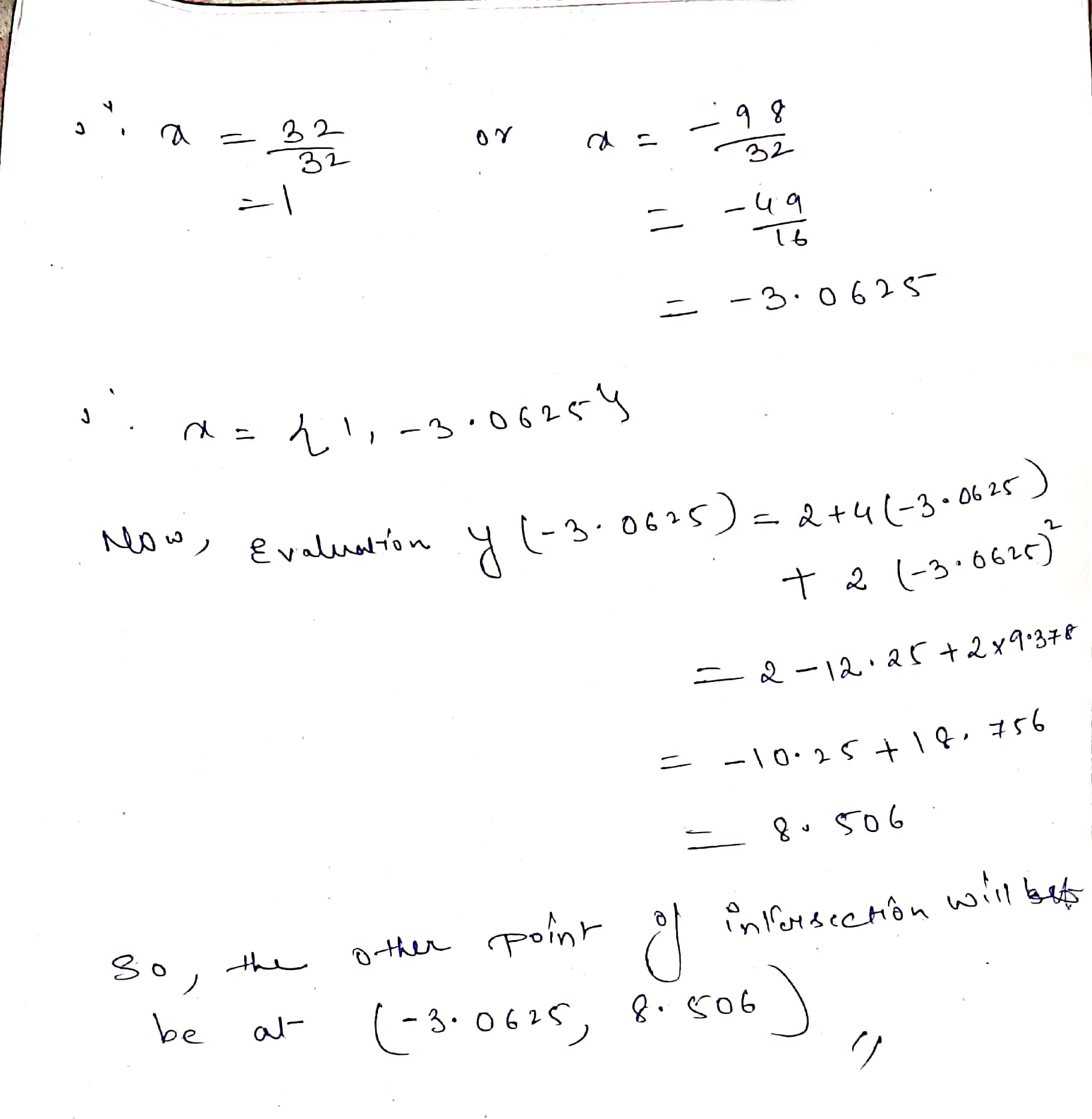
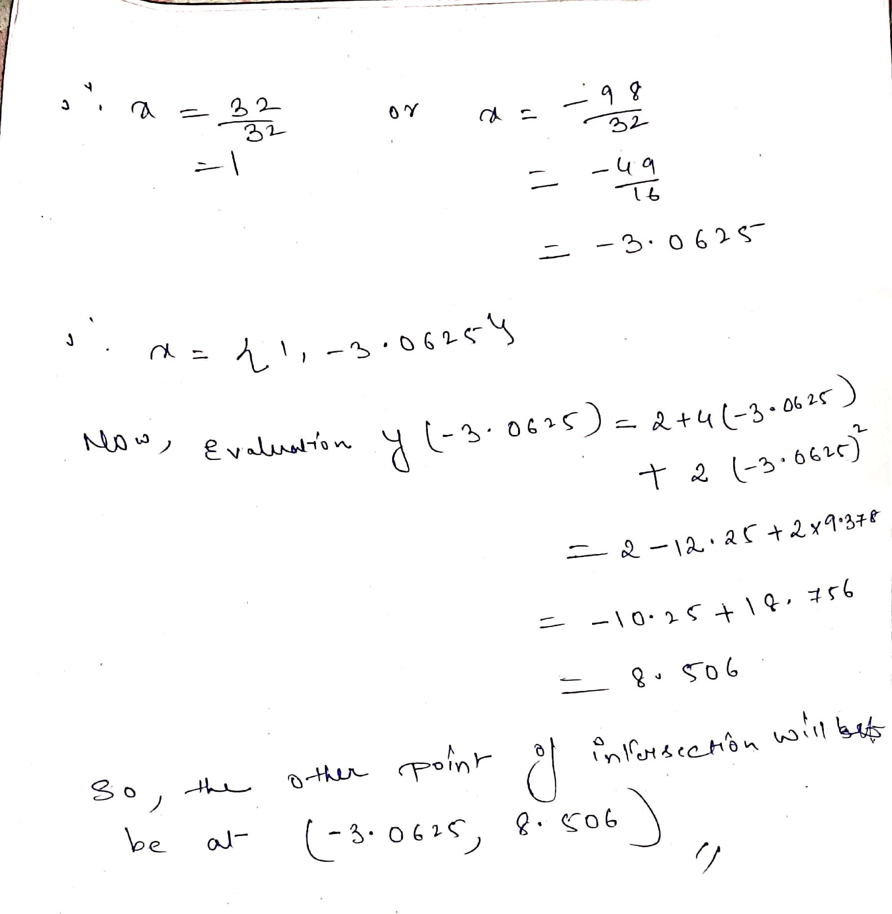
At what point does the line normal to the graph of y = 2 + 4x + 2x- at (1, 8) intersect the parabola a second time? Hint: The normal line is perpendicular to the tangent line. If two lines are perpendicular their slopes are negative reciprocals -- i.e. if the slope of the first line is m then the slope of the second line is -1/m32 32 Oy 9 8 - 1 32 - 4 9 - - 3 . 0625- 21 1 - 3 . 062 5- 4 Now , Evaluation 4 ( - 3 . 0625 ) = 2 +4(- 3. 0625 ) 7 2 ( - 3 . 0625 ) = 2 - 12 . 25 + 2 x 9. 378 = - 10. 25 + 18. 756 8 506 other point intersection will bets be at (- 3 . 0625 , 8 . 506
Step by Step Solution
There are 3 Steps involved in it
Get step-by-step solutions from verified subject matter experts
