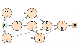
Question: begin{tabular}{ccc} hline Activity & Activity Time (weeks) & Immediate Predecessor(s) hline A & 4 & - B & 1 & - C



\begin{tabular}{ccc} \hline Activity & Activity Time (weeks) & Immediate Predecessor(s) \\ \hline A & 4 & - \\ B & 1 & - \\ C & 6 & - \\ D & 1 & A, B \\ E & 4 & B \\ F & 2 & D, C \\ G & 6 & E, C \\ H & 9 & F, G \\ \hline \end{tabular} The critical path is and the project duration is weeks. (Enter your response as a whole number.) c. Calculate the slack for activities A and D
Step by Step Solution
There are 3 Steps involved in it
Get step-by-step solutions from verified subject matter experts
