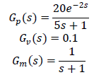
Question: Calculate the open-loop transfer function given the following transfer functions, given this is for a proportional controller. Gp(s)=5s+120e2sGv(s)=0.1Gm(s)=s+11 Gp(s)=5s+120e2sGv(s)=0.1Gm(s)=s+11
Calculate the open-loop transfer function given the following transfer functions, given this is for a proportional controller.

Gp(s)=5s+120e2sGv(s)=0.1Gm(s)=s+11 Gp(s)=5s+120e2sGv(s)=0.1Gm(s)=s+11
Step by Step Solution
There are 3 Steps involved in it
Get step-by-step solutions from verified subject matter experts
