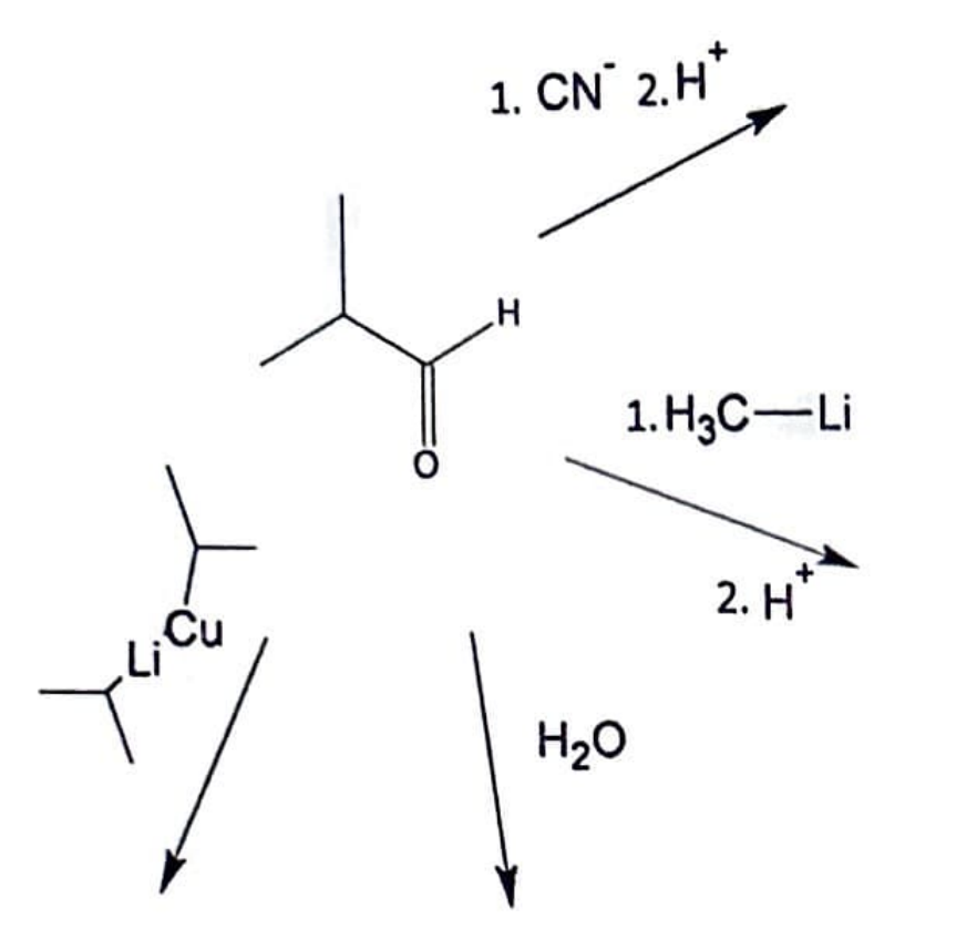
Question: Complete the reactions below. If a reaction does not occur, write NO RXN clearly after the reaction arrow: 1. CN 2.H H 1. H&C-Li O
Complete the reactions below. If a reaction does not occur, write "NO RXN" clearly after the reaction arrow:

Step by Step Solution
There are 3 Steps involved in it
Get step-by-step solutions from verified subject matter experts
