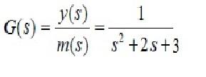
Question: Consider a second-order system with the transfer function shown below. Introduce a magnitude 10 step change into the system and find (a) over elevation. (b)
Consider a second-order system with the transfer function shown below. Introduce a magnitude 10 step change into the system and find (a) over elevation. (b) rate of decline. (c) maximum value of y(t). (d) last value of y(t). (e) rise time and (f) period of oscillation.

y(5) 1 G(S) = m(s) so? +2s +3 )
Step by Step Solution
There are 3 Steps involved in it
Get step-by-step solutions from verified subject matter experts
