Question: Consider the following initial value problem 30y + 6y 3 + 18 3 =0, y(0) = 2, y' (0) = 30 Let f(x ) be

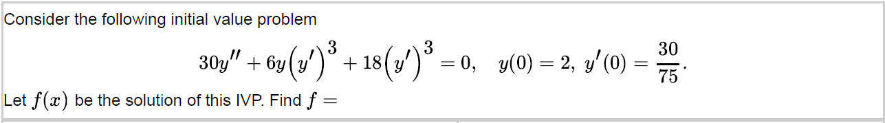
Consider the following initial value problem 30y" + 6y 3 + 18 3 =0, y(0) = 2, y' (0) = 30 Let f(x ) be the solution of this IVP. Find f = 75
Step by Step Solution
There are 3 Steps involved in it
Get step-by-step solutions from verified subject matter experts
