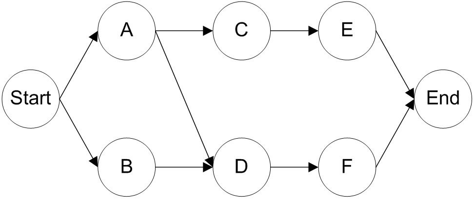
Question: Consider the following project: A B C D E F 13 36 46 31 28 27 What is the project completion time? A w E
Consider the following project:

| A | B | C | D | E | F |
| 13 | 36 | 46 | 31 | 28 | 27 |
What is the project completion time?
A w E Start End B D FStep by Step Solution
There are 3 Steps involved in it
1 Expert Approved Answer
Step: 1 Unlock
Question Has Been Solved by an Expert!
Get step-by-step solutions from verified subject matter experts
Step: 2 Unlock
Step: 3 Unlock
