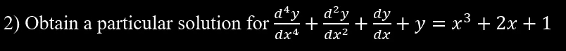
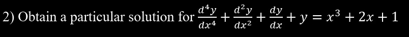
Question: d 4 y d2y dy 2) Obtain a particular solution for + + + y dx4 dx2 dx


d 4 y d2y dy 2) Obtain a particular solution for + + + y dx4 dx2 dx
Step by Step Solution
There are 3 Steps involved in it
Get step-by-step solutions from verified subject matter experts
