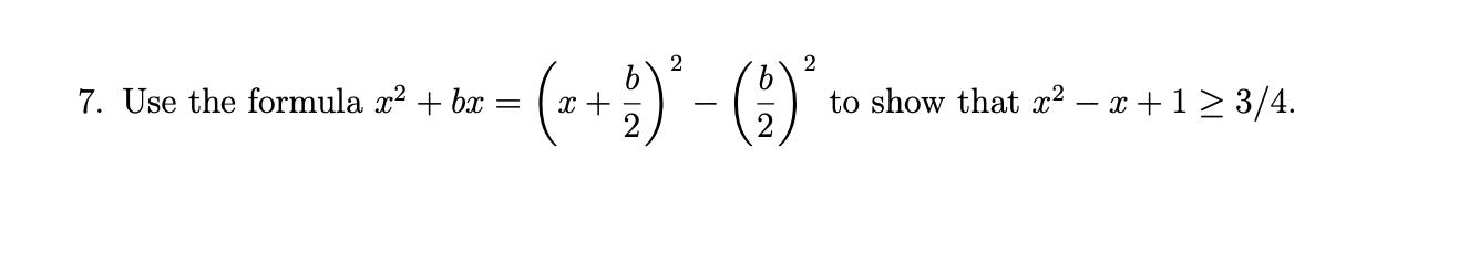
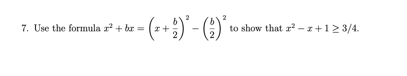
Question: 7. Use the formula rx2 -k bx to show that cc2 -k 1 3/4.


7. Use the formula rx2 -k bx to show that cc2 -k 1 3/4.
Step by Step Solution
There are 3 Steps involved in it
Get step-by-step solutions from verified subject matter experts
