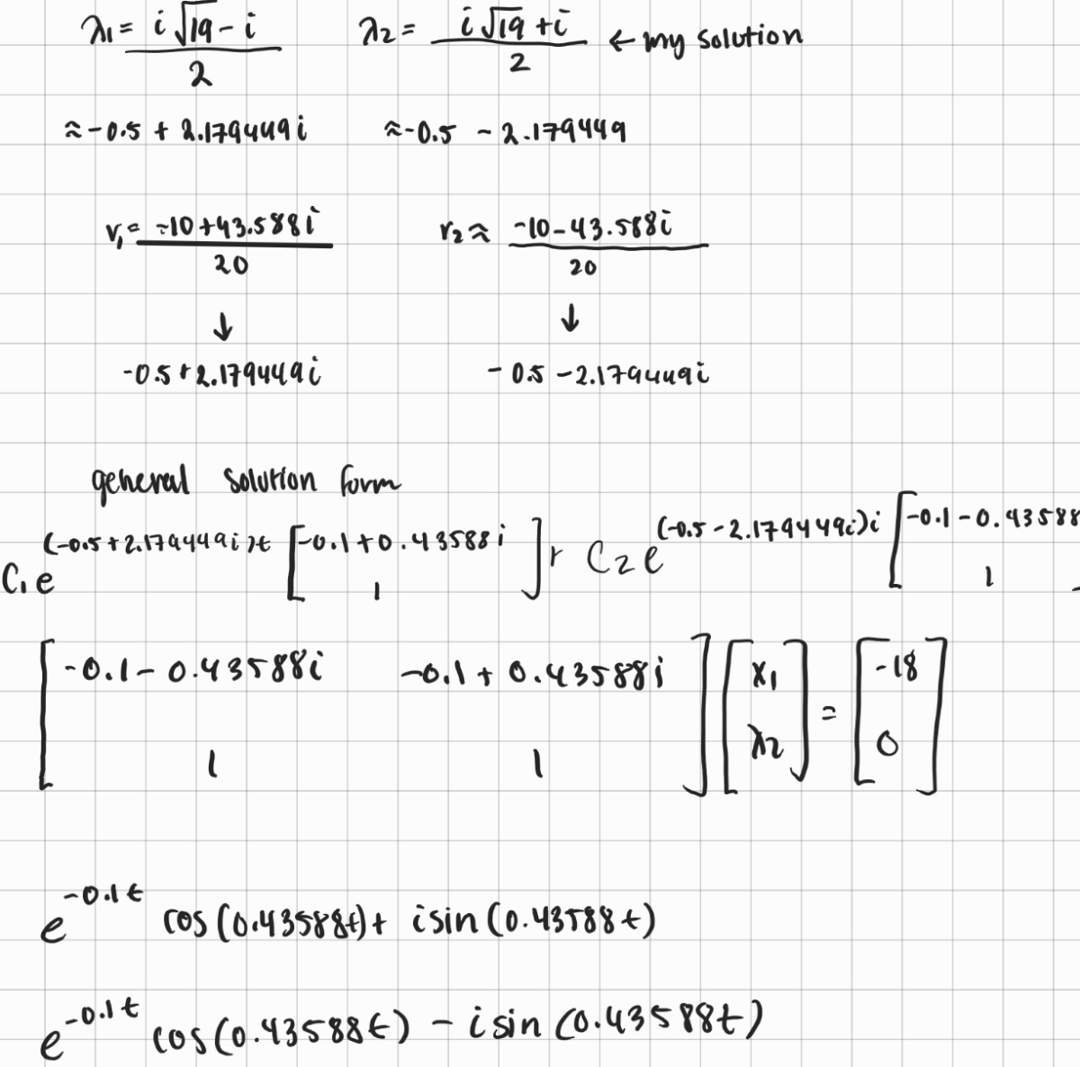
Question: Iq-c 0-5 R.nqqqqi -05 Solution 20 OS -2.fi-quqqc O.M%T8tk) -0.1 -O. CBS-Yt 1 Cue -o.te ces e -0.1k e


Iq-c 0-5 R.nqqqqi -05 Solution 20 OS -2.fi-quqqc O.M%T8tk) -0.1 -O. CBS-Yt 1 Cue -o.te ces e -0.1k e
Step by Step Solution
There are 3 Steps involved in it
Get step-by-step solutions from verified subject matter experts
