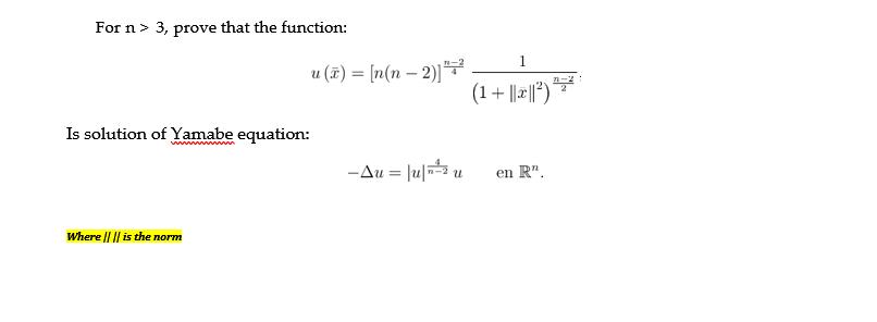
Question: For n> 3, prove that the function: u (t) = [n(n-2)] -Au=|u| U Is solution of Yamabe equation: Where || || is the norm
For n> 3, prove that the function: u (t) = [n(n-2)] -Au=|u| U Is solution of Yamabe equation: Where || || is the norm (1+||||) en R". 21-
Step by Step Solution
3.42 Rating (142 Votes )
There are 3 Steps involved in it
To Preove the for 173 for each NER constant me ce n 82 funcmson 4... View full answer
Get step-by-step solutions from verified subject matter experts
