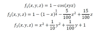
Question: Given the nonlinear system shown below, Use the Fixed Point iteration method to find a solution within 10^-5 of the normal. Take as starting point
Given the nonlinear system shown below, Use the Fixed Point iteration method to find a solution within 10^-5 of the normal. Take as starting point x = 0, y = 0,z= 0.5. Make a clear record of your procedure and each iteration, identify your answer and calculate the error obtained.

f1(x,y,z)=1cos(xyz) f2(x,y,z)=1(1x)411005z2+10015z f3(x,y,z)=x2+101y2+1001y+1
Step by Step Solution
There are 3 Steps involved in it
Get step-by-step solutions from verified subject matter experts
