Question: Good evening, I do not know how to solve one exercise. Can you help me, please? I do not understand how it leads to this


Good evening,
I do not know how to solve one exercise. Can you help me, please? I do not understand how it leads to this result. I struggle the most with the simplification at the end. I know the solution until that point.
best wishes,
Alex


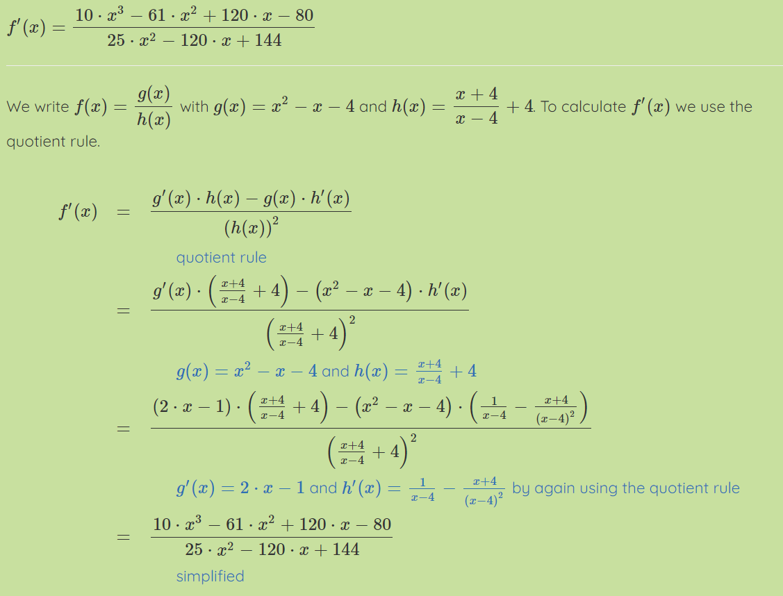
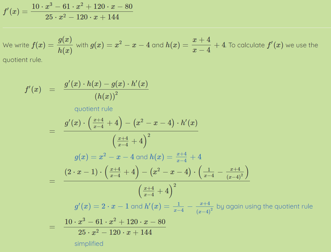
\ff' (z ) = 10 . x3 - 61 . x2 + 120 . x - 80 25 . x2 - 120 . x + 144 We write f(a) = 9 (a) with g(a) = a2 - x - 4 and h(x) = 2+ 4 h(x) x - 4 + 4. To calculate f' (x) we use the quotient rule. f' (ac ) = g' (x) . h(x) - g(x) . h'(x) (h(ac) ) 2 quotient rule g' (ac) . (2+ 4) - (202 - 20- 4) . h'(2) = x- 4 + 4) 2 g(x) =x2 - x -4 and h(x) = X+4 7- 4 + 4 (2 . 2 - 1) . (2+4+ 4) - (202 - 20-4). 2+4 x-4 (x-4)2 x- 4 + 4 ) ? g' (x) = 2 . x - 1 and h (x) = 4 (x-4) 2 by again using the quotient rule 10 . x3 - 61 . x2 + 120 . x - 80 = 25 . x2 - 120 . x + 144 simplified
Step by Step Solution
There are 3 Steps involved in it
Get step-by-step solutions from verified subject matter experts
