Question: How to solve this question? The C question you need to show the motion of particle. The second picture is the way that I need
How to solve this question?
The C question you need to show the motion of particle.
The second picture is the way that I need your help to show the step of that,please.


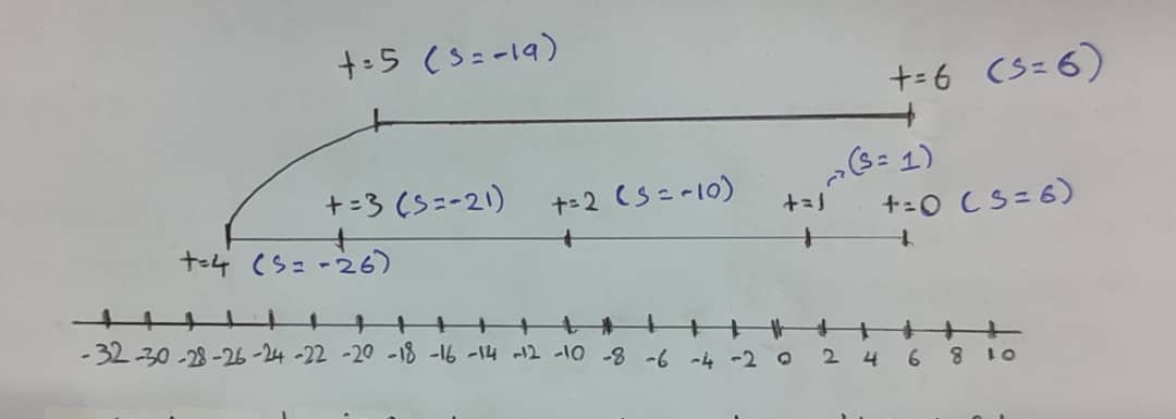
The position of a particle is given by the equation s = f(1) =13-612 +6 where t is measured in seconds and s in meters. a. Find the velocity at time t. [2 marks] b. When is the particle at rest? [3 marks] c. Draw a diagram to represent the motion of the particle. [3 marks]4:5 (3 =-19 ) += 6 ( s = 6 ) += 3 (s=-21 ) +=2 (5 = - 10 ) ( S = 1 ) + = 1 tel (S=- 26 ) +=0 ( s = 6) - 32-30-28-26-24-22-20-18-16-14-12-10-8 -6 -4 -2 0 2 4 6 8 10
Step by Step Solution
There are 3 Steps involved in it
Get step-by-step solutions from verified subject matter experts
