Question: HW # 1 VA 1 . f ( x ) = 3 HA X- 2 Graph 2 . X -I f ( x ) =






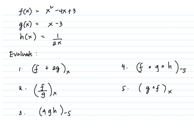
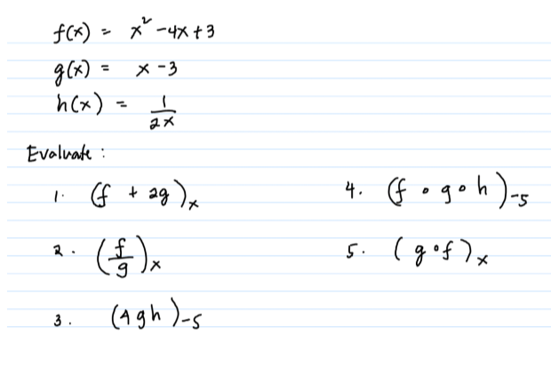
HW # 1 VA 1 . f ( x ) = 3 HA X- 2 Graph 2 . X -I f ( x ) = D : x +x-2 R :1. An employee receives a weekly salary of Php 4,200 and a 7% commission on all sales. a. Write a rule to describe the function f(x) that gives weekly earnings in terms of x pesos. b. Find the employee's earnings for a week with Php 10,000 total sales. c. What were the employee's total sales for a week for which her earnings were Php 9000? 2. John charges Php 35 for every page of encoding work. In addition, He charges Php 8.50 per page of printed output. How much will John charge for a 35-page encoding and printing work? 3. An airport taxi operator estimates the 250 passengers are transported from NAIA to Manila Hotel. He charges a flat rate of Php 300. Moreover, he estimates that for every Php 25 increase in his rate, he will lose 15 passengers. Write a function rule that describes the operator's income after increasing his rate. 1 Add File 2 points Evaluate: f(x) = 4x - 5,g(x) = x2 + 4. Find fig(x)} Your answerf ( * ) = x - 4x+3 g (x ) = x - 3 h ( x ) = 2 X Evaluate : 1. (f + 29 ) x 4 . ( f o g o h ) -5 2 . 5 . ( g of ) x 3 . ( 4 gh ) - s
Step by Step Solution
There are 3 Steps involved in it
Get step-by-step solutions from verified subject matter experts
