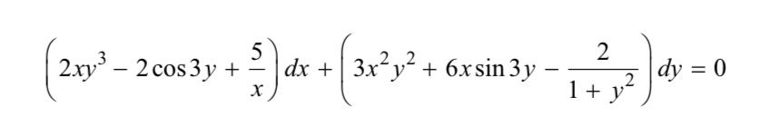
Question: I am having some trouble with this problem. Please show the steps out on how to solve the problem, I would really appreciate it. Thank
I am having some trouble with this problem. Please show the steps out on how to solve the problem, I would really appreciate it. Thank you so much for your help.

2 2xy' - 2cos3y + dx + 3x y'+ 6xsin3y - - ,2 dy = 0 1 +
Step by Step Solution
There are 3 Steps involved in it
Get step-by-step solutions from verified subject matter experts
