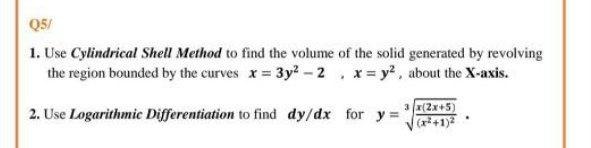
Question: I need the answer within 10 minutes So Write ONLY the correct answer without any explanation 1. Use Cylindrical Shell Method to find the volume
I need the answer within 10 minutes So Write ONLY the correct answer without any explanation

Step by Step Solution
There are 3 Steps involved in it
1 Expert Approved Answer
Step: 1 Unlock
Question Has Been Solved by an Expert!
Get step-by-step solutions from verified subject matter experts
Step: 2 Unlock
Step: 3 Unlock
