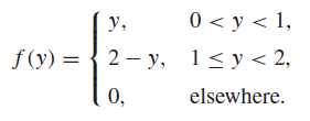
Question: If the probability density function is given by: Graph f(y) Find F(y)
- If the probability density function is given by:

- Graph f(y)
- Find F(y)
Step by Step Solution
There are 3 Steps involved in it
1 Expert Approved Answer
Step: 1 Unlock
Question Has Been Solved by an Expert!
Get step-by-step solutions from verified subject matter experts
Step: 2 Unlock
Step: 3 Unlock
