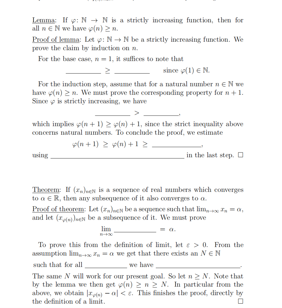
Question: Lemma: If phi :N->N is a strictly increasing function, then for all ninN we have phi (n)>=n . Proof of lemma: Let phi :N->N be
Lemma: If
\\\\phi :N->Nis a strictly increasing function, then for\ all
ninNwe have
\\\\phi (n)>=n.\ Proof of lemma: Let
\\\\phi :N->Nbe a strictly increasing function. We\ prove the claim by induction on
n.\ For the base case,
n=1, it suffices to note that\
>=, since \\\\phi (1)inN. \ For the induction step, assume that for a natural number
ninNwe\ have
\\\\phi (n)>=n. We must prove the corresponding property for
n+1.\ Since
\\\\phi is strictly increasing, we have\
>\ which implies
\\\\phi (n+1)>=\\\\phi (n)+1, since the strict inequality above\ concerns natural numbers. To conclude the proof, we estimate\
\\\\phi (n+1)>=\\\\phi (n)+1>=\ using\ in the last step.\ Theorem: If
(x_(n))_(ninN)is a sequence of real numbers which converges\ to
\\\\alpha inR, then any subsequence of it also converges to
\\\\alpha .\ Proof of theorem: Let
(x_(n))_(ninN)be a sequence such that
\\\\lim_(n->\\\\infty )x_(n)=\\\\alpha ,\ and let
(x_(\\\\phi (n)))_(ninN)be a subsequence of it. We must prove\
\\\\lim_(n->\\\\infty ),=\\\\alpha \ To prove this from the definition of limit, let
\\\\epsi >0. From the\ assumption
\\\\lim_(n->\\\\infty )x_(n)=\\\\alpha we get that there exists an
NinN\ such that for all\ we have\ The same
Nwill work for our present goal. So let
n>=N. Note that\ by the lemma we then get
\\\\phi (n)>=n>=N. In particular from the\ above, we obtain
|x_(\\\\phi (n))-\\\\alpha |. This finishes the proof, directly by\ the definition of a limit.

Lemma: If :NN is a strictly increasing function, then for all nN we have (n)n. Proof of lemma: Let :NN be a strictly increasing function. We prove the claim by induction on n. For the base case, n=1, it suffices to note that since(1)N. For the induction step, assume that for a natural number nN we have (n)n. We must prove the corresponding property for n+1. Since is strictly increasing, we have which implies (n+1)(n)+1, since the strict inequality above concerns natural numbers. To conclude the proof, we estimate (n+1)(n)+1 using in the last step. Theorem: If (xn)nN is a sequence of real numbers which converges to R, then any subsequence of it also converges to . Proof of theorem: Let (xn)nN be a sequence such that limnxn=, and let (x(n))nN be a subsequence of it. We must prove limn To prove this from the definition of limit, let >0. From the assumption limnxn= we get that there exists an NN such that for all we have The same N will work for our present goal. So let nN. Note that by the lemma we then get (n)nN. In particular from the above, we obtain x(n)<. this finishes the proof directly by definition of a limit>
Step by Step Solution
There are 3 Steps involved in it
Get step-by-step solutions from verified subject matter experts
