Question: MATLAB code please ANS/formulas: Thank you, will rate good answer right away! Derive the equation of motion for a vertical pendulum subject to a damping
MATLAB code please

ANS/formulas:

Thank you, will rate good answer right away!
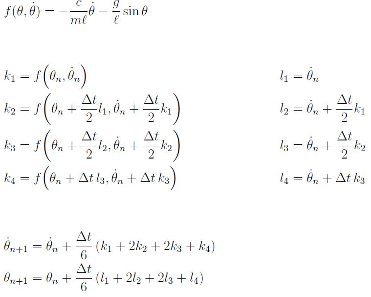
Derive the equation of motion for a vertical pendulum subject to a damping force of magnitude Fd (A. where the force acts opposite the direction of the velocity (or opposite increasing ) Using the parameters0.1 9(0) , implement the Euler method and the Runge-Kutta method over the first 30 seconds. For each, plot the angular displacement vs. time and the angular velocity vs. angular displacement. What is the physical significance of these plots? Specifically, you should 2, and the initial conditions (0) and a) Present the recursive formulas that you used b) Show the two figures you produced from the numerical simulation, c) Run the simulation for several values of At, commenting on their accuracy, and d) Interpret the plots to describe the physical behavior of the system ml Tl At Derive the equation of motion for a vertical pendulum subject to a damping force of magnitude Fd (A. where the force acts opposite the direction of the velocity (or opposite increasing ) Using the parameters0.1 9(0) , implement the Euler method and the Runge-Kutta method over the first 30 seconds. For each, plot the angular displacement vs. time and the angular velocity vs. angular displacement. What is the physical significance of these plots? Specifically, you should 2, and the initial conditions (0) and a) Present the recursive formulas that you used b) Show the two figures you produced from the numerical simulation, c) Run the simulation for several values of At, commenting on their accuracy, and d) Interpret the plots to describe the physical behavior of the system ml Tl At
Step by Step Solution
There are 3 Steps involved in it
Get step-by-step solutions from verified subject matter experts
